Welcome to Bulletin of Botanical Research! Today is Share:

Bulletin of Botanical Research ›› 2024, Vol. 44 ›› Issue (3): 349-360.doi: 10.7525/j.issn.1673-5102.2024.03.004

• Genetic and Breeding • Previous Articles     Next Articles

Germplasm Innovation and Characteristic Analysis of Transgenic PsnNAC007Populus simonii×P. nigra with High Drought Tolerance

Xiaoqian WU, Xu HE, Jinghui GAO, Shuang LI()   

  1. State Key Laboratory of Tree Genetics and Breeding(Northeast Forestry University),Harbin 150040
  • Received:2024-01-19 Online:2024-05-20 Published:2024-05-14
  • Contact: Shuang LI E-mail:shuangli@nefu.edu.cn

Abstract:

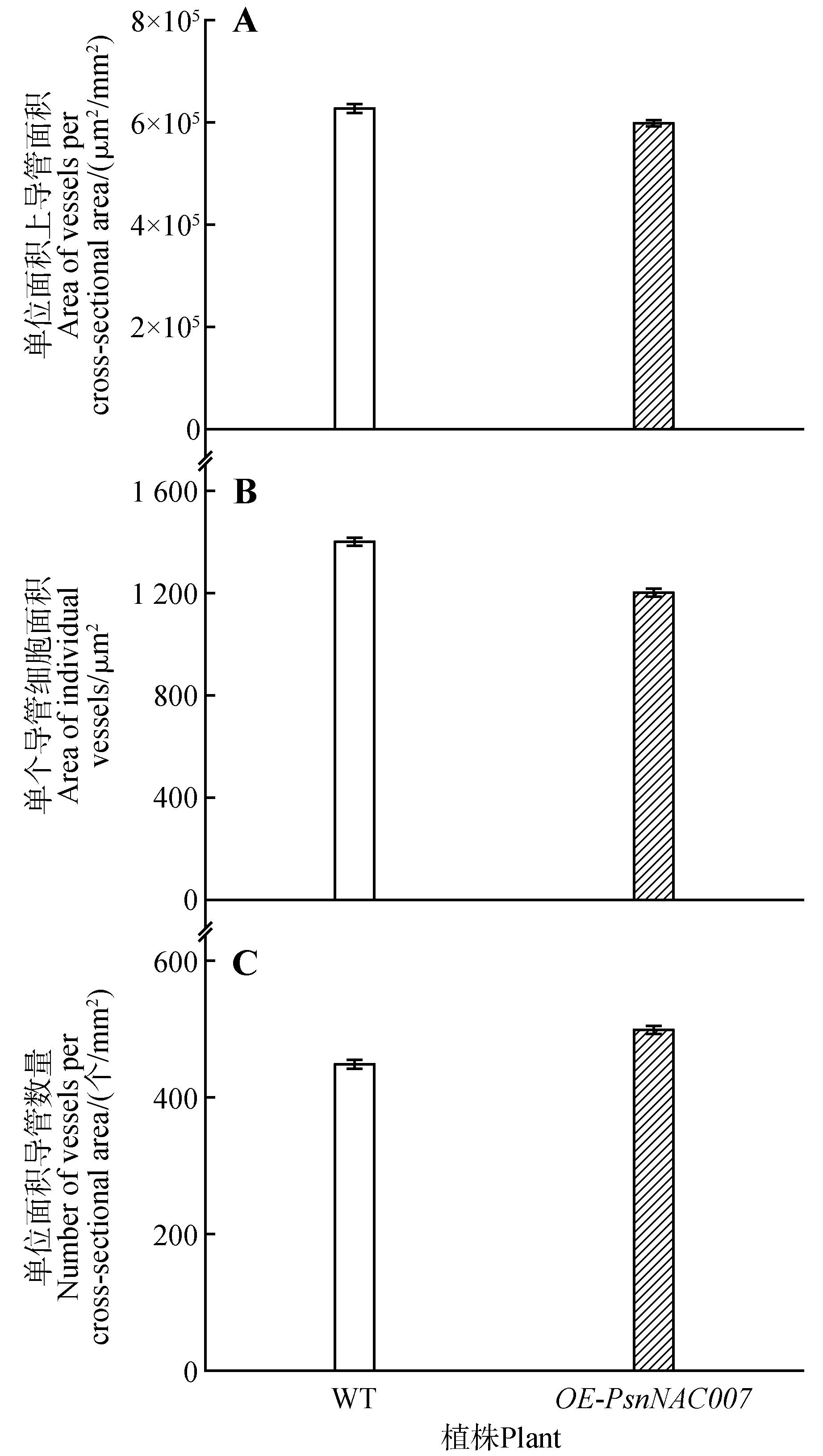
Populus simonii×P. nigra is a fast-growing and cold-tolerant tree species with elite wood properties in northeast China. In order to produce a new forest germplasm with more widely planting and improved drought tolerance, this study successfully generated transgenic P. simonii×P. nigra using PsnNAC007, a key drought response transcription factor gene. Growth characteristics, drought tolerant ability, net photosynthetic rate(Pn), transpiration rate(Tr), stomatal conductance(Gs), water conductance, cell morphology and wood components of overexpressed PsnNAC007 transgenic plants were analyzed respectively. The results showed that there was no significant difference in growth between transgenic and wild-type plants, but drought survival rate was increased by 26.15%. Under drought condition, transgenic plants exhibited reduced Cleaf and Tr, improved water use efficiency, and lower water conductance loss. Anatomical analysis showed that the overexpression of PsnNAC007 led to more and smaller stem xylem vessels, which were conducive to the continuous and efficient water transport in plants under drought conditions. Based on wood components analysis, lignin deposition in stems of transgenic plants was increased significantly, and monosaccharides that constituted cellulose and hemicellulose showed no significant change.

Key words: Populus simonii × P. nigra, drought stress, transcription factor, genetic transformation

CLC Number: 

Baidu
map