Welcome to Bulletin of Botanical Research! Today is Share:

Bulletin of Botanical Research ›› 2021, Vol. 41 ›› Issue (6): 1006-1014.doi: 10.7525/j.issn.1673-5102.2021.06.019

• Research Report • Previous Articles     Next Articles

Cloning and Expression Analysis of HD-Zip Transcription Factor PsnHB63 in Populus simonii × P. nigra

Lian-Bin HAN, Qing GUO, Kai ZHAO, Ting-Bo JIANG, Bo-Ru ZHOU, Li LI()   

  1. State Key Laboratory of forest tree genetics and breeding,Northeast Forestry University,Harbin 150040
  • Received:2020-09-23 Online:2021-11-20 Published:2021-10-29
  • Contact: Li LI E-mail:lili@nefu.edu.cn
  • About author:HAN Lian-Bin(1996—),famale,master,mainly engages is specialized in plant molecular biology.
  • Supported by:
    Major special project for breeding new varieties of genetically modified organisms(2018ZX08020002)

Abstract:

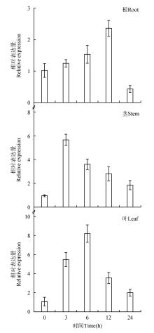
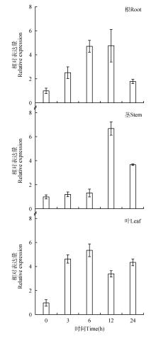
The PsnHB63 gene was cloned from the leaves of Populus simonii × P.nigra, and by using bioinformatics analysis, the results showed that the full-length cDNA fragment was 717 bp in length, encoded 238 amino acids, and had an unstable hydrophilic protein with a conserved domain, belonged to Homeobox/HALZ family. The phylogenetic tree showed that PsnHB63 was closely related to Populus tomentosaPopulus alba and Populus. The PsnHB63 was localized in the nucleus by subcellular localization. Under salt and drought stresses, the expression of PsnHB63 was up-regulated. The results indicated that the HD-Zip transcription factor HB63 might respond to high salt and drought stresses.

Key words: Populus simonii × P.nigra, transcription factors, subcellular localization, stress response

CLC Number: 

Baidu
map