Bulletin of Botanical Research ›› 2023, Vol. 43 ›› Issue (6): 846-856.doi: 10.7525/j.issn.1673-5102.2023.06.007
• Physiology and Ecology • Previous Articles Next Articles
Tianmeng REN1, Yu BAO1, Yaxun SU2, Qingbin CHEN2, Liying WEI2, Ruoxuan JI1, Xiao YU1, Xinli XIA1, Weilun YIN1, Chao LIU1(
)
Received:2023-02-22
Online:2023-11-20
Published:2023-11-08
Contact:
Chao LIU
E-mail:liuchao1306@bjfu.edu.cn
About author:REN Tianmeng(1996—),male,postgraduate,mainly engaged in the research of tree stress biology.
CLC Number:
Tianmeng REN, Yu BAO, Yaxun SU, Qingbin CHEN, Liying WEI, Ruoxuan JI, Xiao YU, Xinli XIA, Weilun YIN, Chao LIU. Effects of Different Pruning Treatments on Growth and Photosynthetic Characteristics of 10-year-old Triploid Populus tomentosa[J]. Bulletin of Botanical Research, 2023, 43(6): 846-856.
Add to citation manager EndNote|Ris|BibTeX
URL: https://bbr.nefu.edu.cn/EN/10.7525/j.issn.1673-5102.2023.06.007
Fig.2
Effects of different pruning on the growth of 10-year-old triploid P.tomentosaA,C,E were the interannual changes of height,DBH and volume of triploid P.tomentosa respectively;B,D,F were the ΔH,ΔD and ΔV of P.tomentosa in each year respectively;Different lowercase letters indicated significant difference between pruning treatments(P<0.05);the same as below
Table 1
Multivariate variance analysis of pruning treatment on growth of P.tomentosa from 2017—2019( F value)
差异来源 Source of variance | 树高 Height | 胸径 DBH | 材积 Volume | 树高增长率 ΔH | 胸径增长率 ΔD | 材积增长率 ΔV |
|---|---|---|---|---|---|---|
| 品系Strain | 15.934*** | 16.152*** | 24.355*** | 0.003 | 21.056*** | 4.410* |
| 处理Treatment | 3.985* | 4.967** | 5.998** | 3.772* | 3.101* | 0.211 |
| 年份Year | 200.093*** | 26.363*** | 83.223*** | 25.418*** | 203.532*** | 40.486*** |
| 品系×处理Strain×Treatment | 6.685** | 6.577** | 5.570** | 0.127 | 0.805 | 0.083 |
| 品系×年份Strain×Year | 0.471 | 0.583 | 1.009 | 3.897* | 8.303*** | 8.707*** |
| 处理×年份Treatment×Year | 1.273 | 0.116 | 0.128 | 4.889*** | 1.231 | 1.299 |
| 品系×处理×年Strain×Treatment×Year | 0.150 | 0.022 | 0.036 | 1.194 | 0.335 | 0.673 |
Table 2
Multiple comparisons of ΔH,ΔD and ΔV of triploid P. tomentosa among different pruning years and strains
品系 Strain | 差异来源 Source of variance | 处理 Treatment | 树高增长率 ΔH/% | 胸径增长率 ΔD/% | 材积增长率 ΔV/% |
|---|---|---|---|---|---|
| B301 | 修枝强度 Pruning intensity | CK | 11.34±9.82 Aa | 4.83±3.91 Aa | 15.51±10.34 Aa |
| Q | 13.18±13.18 Aa | 4.48±3.60 Aa | 15.38±9.65 Aa | ||
| Z | 10.12±9.16 Aa | 4.70±3.82 Aa | 14.16±8.83 Aa | ||
年份 Year | 2017 | 12.22±7.89 Aa | 4.54±2.61 Ba | 20.28±9.56 Aa | |
| 2018 | 6.79±6.49 Bb | 1.43±1.15 Ca | 9.14±6.63 Bb | ||
| 2019 | 15.78±14.87 Aa | 7.98±3.57 Aa | 15.56±8.83 Aa | ||
| S86 | 修枝强度 Pruning intensity | CK | 10.91±9.04 Aa | 4.21±3.39 Aa | 14.38±8.40 Aa |
| Q | 13.09±10.70 Aa | 3.26±2.40 Bb | 13.57±6.99 Aa | ||
| Z | 10.76±8.41 Aa | 3.50±2.78 ABb | 12.67±7.23 Aa | ||
年份 Year | 2017 | 9.41±5.79 Bb | 3.68±2.78 Bb | 15.91±8.76 Ab | |
| 2018 | 9.81±7.46 Ba | 1.53±1.18 Ca | 11.81±6.66 Ba | ||
| 2019 | 15.75±12.68 Aa | 5.84±2.72 Ab | 13.21±6.76 Bb |
Table 3
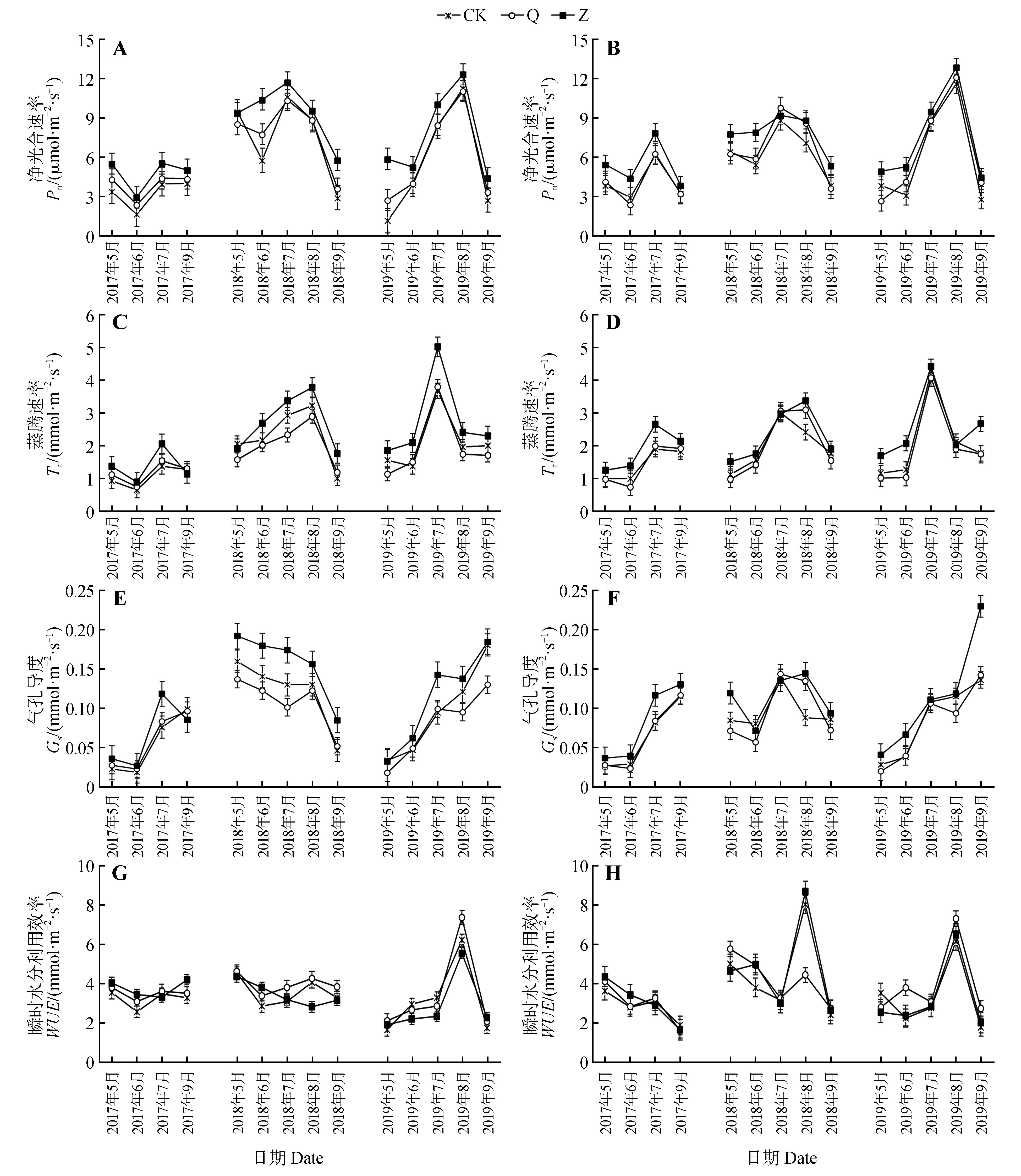
Comparison of photosynthetic characteristics of different canopies of P. tomentosa
品系 Strain | 冠层 Canopy | 个案数量 Number of cases | 净光合速率 Pn/(μmol·m-2·s-1) | 蒸腾速率 Tr/(mmol·m-2·s-1) | 气孔导度 Gs/(mmol·m-2·s-1) | 瞬时水分利用效率 WUE/(mmol·m-2·s-1) |
|---|---|---|---|---|---|---|
| B301 | 上层 Upper layer( h≥10 m) | 84 | 6.62±4.71 a | 2.05±1.55 a | 0.10±0.08 ab | 3.72±2.24 a |
中层 Middle layer(7 m≤h<10 m) | 167 | 5.76±4.34 b | 1.79±1.25 b | 0.09±0.08 b | 3.56±2.27 a | |
下层 Lower layer(5 m≤h<7 m) | 252 | 5.83±4.81 ab | 1.99±1.77 ab | 0.10±0.10 a | 3.34±2.16 a | |
| S86 | 上层 Upper layer(h≥10 m) | 82 | 6.32±4.30 a | 1.99±1.36 a | 0.09±0.07 a | 3.76±2.99 a |
中层 Middle layer(7 m≤h<10 m) | 163 | 5.58±4.41 b | 1.85±1.37 ab | 0.08±0.07 a | 3.70±3.39 a | |
下层 Lower layer(5 m≤h<7 m) | 246 | 5.28±4.00 b | 1.84±1.27 b | 0.08±0.07 a | 3.67±3.37 a |
Table 4
Multi-factor variance analysis of photosynthetic characteristics of P.tomentosa under pruning treatment from 2017-2019( F value)
差异来源 Source of variance | 净光合速率 Pn | 蒸腾速率 Tr | 气孔导度 Gs | 瞬时水分利用效率 WUE |
|---|---|---|---|---|
品系 Strain | 0.395 | 0.010 | 0.925 | 1.857 |
处理 Treatment | 9.387*** | 9.194*** | 7.891*** | 0.326 |
年份 Year | 25.391*** | 23.750*** | 20.556*** | 4.276* |
月份 Month | 46.134*** | 42.607*** | 20.236*** | 22.631*** |
品系×处理 Strain×Treatment | 0.098 | 0.133 | 0.257 | 0.361 |
品系×年份 Strain×Year | 2.691 | 2.111 | 2.160 | 1.900 |
品系×月份 Strain×Month | 0.306 | 2.042 | 2.470* | 3.031* |
处理×年份 Treatment ×Year | 0.069 | 0.401 | 0.450 | 0.512 |
处理×月份 Treat×Month | 0.197 | 0.112 | 0.097 | 0.212 |
年份×月份 Year×Month | 10.559*** | 9.179*** | 14.027*** | 3.121** |
品系×处理×年份 Strain×Treatment×Year | 0.114 | 0.287 | 0.432 | 0.327 |
品系×处理×月份 Strain×Treatment×Month | 0.114 | 0.309 | 0.372 | 0.754 |
品系×年份×月份 Strain×Year×Month | 0.808 | 0.400 | 2.112* | 1.251 |
处理×年份×月份 Treat×Year×Month | 0.278 | 0.196 | 0.437 | 0.457 |
品系×处理×年份×月份 Strain×Treatment×Year×Month | 0.207 | 0.400 | 0.276 | 0.286 |
Table 5
Multiple comparisons of photosynthetic characteristics of triploid P. tomentosa among different pruning treatments,years and strains
品系 Strain | 差异来源 Source of variance | 处理 Treatment | 净光合速率 Pn/(μmol·m-2·s-1) | 蒸腾速率 Tr/(mmol·m-2·s-1) | 气孔导度 Gs/(mmol·m-2·s-1) | 瞬时水分利用效率 WUE/(mmol·m-2·s-1) |
|---|---|---|---|---|---|---|
| B301 | 修枝强度 Pruning intensity | CK | 5.75±4.36 Ba | 1.91±1.37 Ba | 0.09±0.08 Ba | 3.38±1.73 Aa |
| Q | 6.18±4.33 Ba | 1.79±1.21 Ba | 0.08±0.06 ABa | 3.69±2.03 Aa | ||
| Z | 7.58±4.87Aa | 2.37±1.75 Aa | 0.12±0.10 Aa | 3.38±1.56 Aa | ||
年份 Year | 2017 | 4.06±2.15 Ca | 1.22±0.67 Bb | 0.06±0.05 Ca | 3.54±1.32 Aa | |
| 2018 | 8.44±4.83 Aa | 2.37±1.58 Aa | 0.13±0.10 Aa | 3.73±1.36 Aa | ||
| 2019 | 6.45±4.81 Ba | 2.30±1.61 Aa | 0.10±0.08 Ba | 3.20±2.36 Aa | ||
| S86 | 修枝强度 Pruning intensity | CK | 5.57±3.83 Ba | 1.87±1.22 Ba | 0.08±0.06 Ba | 3.64±3.34 Aa |
| Q | 5.86±4.19 ABa | 1.82±1.31 Ba | 0.08±0.06 Ba | 3.81±2.66 Aa | ||
| Z | 7.02±4.39 Aa | 2.28±1.42 Aa | 0.10±0.08 Aa | 3.81±3.65 Aa | ||
年份 Year | 2017 | 4.50±2.93 Ba | 1.57±0.86 Ba | 0.07±0.06 Ba | 3.00±1.49 Bb | |
| 2018 | 7.07±4.06 Ab | 2.11±1.33 Aa | 0.10±0.07 Aa | 4.63±4.42 Aa | ||
| 2019 | 6.61±4.74 Aa | 2.22±1.56 Aa | 0.09±0.07 Aa | 3.53±2.74 ABa |
| 1 | 李文文,黄秦军,丁昌俊,等.南方型和北方型美洲黑杨幼苗光合作用的日季节变化[J].林业科学研究,2010,23(2):227-233. |
| LI W W, HUANG Q J, DING C J,et al.Studies on photosynthetic characteristics of south-and north-typed populus deltoides younglings[J].Forest Research,2010,23(2):227-233. | |
| 2 | 方升佐.中国杨树人工林培育技术研究进展[J].应用生态学报,2008,19(10):2308-2316. |
| FANG S Z.Silviculture of poplar plantation in China:a review[J].Chinese Journal of Applied Ecology,2008,19(10):2308-2316. | |
| 3 | FANG S, XUE J, TANG L.Biomass production and carbon sequestration potential in poplar plantations with different management patterns[J].Journal of Environmental Management,2007,85(3):672-679. |
| 4 | 张秀秀,曹帮华,张晓文,等.杨树修枝理论和技术研究进展[J].河北林果研究,2010,25(3):235-239. |
| ZHANG X X, CAO B H, ZHANG X W,et al.Progress in research on theory and technology of poplar pruning[J].Hebei Journal of Forestry and Orchard Research,2010,25(3):235-239. | |
| 5 | 邢尚军,杜振宇,马海林,等.林木修枝技术研究进展与展望[J].山东林业科技,2007(5):89-90,72. |
| XING S J, DU Z Y, MA H L,et al.Research progress and prospect of tree pruning technology[J].Journal of Shandong Forestry Science and Technology,2007(5):89-90,72. | |
| 6 | 郭斌.杨树修枝技术研究进展[J].山西林业科技,2018,47(4):29-31,55. |
| GUO B.Research progress of pruning technology of poplar[J].Shanxi Forestry Science and Technology,2018,47(4):29-31,55. | |
| 7 | 方升佐,徐锡增,严相进,等.修枝强度和季节对杨树人工林生长的影响[J].南京林业大学学报(自然科学版),2000,24(6):6-10. |
| FANG S Z, XU X Z, YAN X J,et al.Effects of pruning intensities and pruning seasons on the growth dynamics of the poplar plantation[J].Journal of Nanjing Forestry University(Natural Sciences Edition),2000,24(6):6-10. | |
| 8 | 陈森锟.欧美107杨对修枝抚育的生长与生理响应研究[D].北京:北京林业大学,2008. |
| CHEN S K.Effects of pruning on growth and physiological characteristic of poplar (Populus × euramericana cv .'74 76') plantation[D].Beijing:Beijing Forestry University,2008. | |
| 9 | 宋立志.不同修枝处理对杨树生长效应的影响分析[J].内蒙古林业调查设计,2018,41(1):88-90. |
| SONG L Z.Effect analysis of different pruning treatment on the growth of poplar[J].Inner Mongolia Forestry Investigation and Design,2018,41(1):88-90. | |
| 10 | 李广德,张亚雄,时海香,等.修枝对8年生三倍体毛白杨生长及生理的短期影响[J].中南林业科技大学学报,2018,38(2):30-35. |
| LI G D, ZHANG Y X, SHI H X,et al.Short effects of pruning on growth and physiology of 8-year-old triploid clones Populus tomentosa plantation[J].Journal of Central South University of Forestry & Technology,2018,38(2):30-35. | |
| 11 | 秦光华,姜岳忠,朱瑞强,等.杨树大径级工业用材林合理采伐年龄的研究[J].甘肃农业大学学报,2006,41(3):81-85. |
| QIN G H, JIANG Y Z, ZHU R Q,et al.Determination of rotation age of polar plantation for large-grade timber production[J].Journal of Gansu Agricultural University,2006,41(3):81-85. | |
| 12 | 陈章水.杨树二元立木材积表的编制[J].林业科学研究,1989,2(1):78-83. |
| CHEN Z S.The establishment of binomial stock volume tables of poplar[J].Forest Research,1989,2(1):78-83. | |
| 13 | 尚富华,李吉跃,胡磊,等.修枝对毛白杨无性系生长、净光合速率和蒸腾速率的影响[J].中国农学通报,2010,26(23):134-139. |
| SHANG F H, LI J Y, HU L,et al.Effects of pruning on growth,net photosynthesis rate and transpiration rate of Populus tomentosa in plantation[J].Chinese Agricultural Science Bulletin,2010,26(23):134-139. | |
| 14 | KOZLOWSKI T T, PALLARDY S G.Photosynthesis[M]// KOZLOWSKI T T,PALLARDY S G.Physiology of woody plants.San Diego:Academic Press,1997,87-132. |
| 15 | LI R S, HAN J M, GUAN X,et al.Crown pruning and understory removal did not change the tree growth rate in a Chinese fir (Cunninghamia lanceolata) plantation[J].Forest Ecology and Management,2020,464:118056. |
| 16 | 陈森锟,尹伟伦,刘晓东,等.修枝对欧美107杨木材生长量的短期影响[J].林业科学,2008,44(7):130-135. |
| CHEN S K, YIN W L, LIU X D,et al.Short effects of pruning on growth of poplar (Populus × euramericana cv.‘74/76’)[J].Scientia Silvae Sinicae,2008,44(7):130-135. | |
| 17 | MAURIN V, DESROCHERS A.Physiological and growth responses to pruning season and intensity of hybrid poplar[J].Forest Ecology and Management,2013,304:399-406. |
| 18 | 任世奇,陈健波,周维,等.修枝对尾巨桉生长及光合生理的影响[J].生态学杂志,2013,32(11):2978-2984. |
| REN S Q, CHEN J B, ZHOU W,et al.Effects of pruning on the growth and photosynthetic physiology of Eucalyptus urophylla×E.grandis [J].Chinese Journal of Ecology,2013,32(11):2978-2984. | |
| 19 | ZHANG J, LIU L Q.Effects of pruning intensity on nonstructural carbohydrates of Populus alba × P.talassica in the arid desert region of northwest China[J].Journal of Forestry Research,2021,32(2):823-830. |
| 20 | 刘可欣,赵宏波,张新洁,等.修枝强度对水曲柳光合作用及细根非结构性碳的影响[J].东北林业大学学报,2019,47(11):42-46. |
| LIU K X, ZHAO H B, ZHANG X J,et al.Effects of pruning intensity on photosynthesis and fine root non-structural carbohydrates of Fraxinus mandshurica [J].Journal of Northeast Forestry University,2019,47(11):42-46. | |
| 21 | 安玉艳,梁宗锁.植物应对干旱胁迫的阶段性策略[J].应用生态学报,2012,23(10):2907-2915. |
| AN Y Y, LIANG Z S.Staged strategy of plants in response to drought stress[J].Chinese Journal of Applied Ecology,2012,23(10):2907-2915. |
| [1] | Fazhi FANG, Huiying GUI, Zhaojia LI, Xiaofeng ZHANG. Physiological Adaptation of Six Mangrove Seedlings to Different Salinity [J]. Bulletin of Botanical Research, 2023, 43(6): 881-889. |
| [2] | Chaoyang MA, Tianfeng LIU, Xiaoxue LI, Cancan HUO, Lingling FU, Zailiu LI. Interannual Changes in the Effects of Soil Gravel Content on the Growth and Physiology of Handeliodendron bodinieri Seedlings [J]. Bulletin of Botanical Research, 2023, 43(6): 890-899. |
| [3] | Jiaxing CHEN, Shu WANG, Linli CHEN, Xiali HOU, Qingzhu YANG, Renya YIN. Effects of Drought Conditions on Interspecific Interactions and Growth of Bidens pilosa and Buddleja lindleyana [J]. Bulletin of Botanical Research, 2023, 43(5): 720-728. |
| [4] | Sheng ZHENG, Haixia GAO, Min SU, Shanghuan LU, Tengguo ZHANG, Guofan WU. Exogenous Sucrose Affected AtKEA1 and AtKEA2 to Regulate Root Growth of Seedling in Arabidopsis thaliana [J]. Bulletin of Botanical Research, 2023, 43(4): 562-571. |
| [5] | Li CAO, Yunli YANG, Tianfang LI, Jing JIANG. Analysis on Leaf Color and Growth Variation of Transgenic BpGLK Betula pendula ‘Dalecarlica' [J]. Bulletin of Botanical Research, 2023, 43(3): 351-360. |
| [6] | Yingying TANG, Chuanchao GUO, Dang SHI, Nanlin JIANG, Zheng XU, Liqiang LIU. Effects of Pulp and Buried Depth on Seed Germination and Seedling Growth of Armeniaca vulgaris [J]. Bulletin of Botanical Research, 2023, 43(2): 251-260. |
| [7] | Kenian LINGHU, Shu WANG. Responses of Biomass Allocation to Population Density and Soil Water in Abutilon theophrasti at Different Growth Stages [J]. Bulletin of Botanical Research, 2023, 43(2): 272-280. |
| [8] | Jun SUN, Guisheng LI. Sequencing and Analysis of miRNAs in Vegetative and Reproductive Growths of Ceratopteris pteridoides [J]. Bulletin of Botanical Research, 2022, 42(6): 1014-1022. |
| [9] | Ying LIU, Jiayi WU, Ling JIN, Qianru JI, Yujie FU, Dewen LI. Effects of Exogenous NO on Soil Nutrient Content and Seedling Growth Characteristics from Potted Catharanthus roseus under Light-shading Stress [J]. Bulletin of Botanical Research, 2022, 42(6): 1088-1095. |
| [10] | Chunyan WEI, Yueling LI, Zexin JIN, Guangyu LUO, Chao CHEN, Fangquan SHAN. Effects of Shading on Photosynthetic Characteristics and Non-structural Carbohydrate Content of Heptacodium miconioides Seedlings [J]. Bulletin of Botanical Research, 2022, 42(6): 1096-1105. |
| [11] | Xiaolu CAO, Qiaozhu ZHAO, Hua XING, Mengfei LI. Anatomical Structure of Seed and Morphological Character at Different Germination Stages of Sinopodophyllum hexandrum [J]. Bulletin of Botanical Research, 2022, 42(5): 746-752. |
| [12] | Huan WANG, Yunfei XU, Yibo LIU, Qinsong LIU, Wenjuan XU, Yun LONG, Xiao XU. Allelopathic Effects on Seed Germination and Seedling Growth of Brassica pekinensi, Caused by Water Extracts of Branches and Leaves from Davidia involucrata and Bothrocaryum controversum [J]. Bulletin of Botanical Research, 2022, 42(5): 866-875. |
| [13] | Weiwei ZHUANG, Mingming WANG. Comparative Analysis of Nutrient Elements of Eight Herbaceous Plants in Desert Area [J]. Bulletin of Botanical Research, 2022, 42(5): 896-909. |
| [14] | Huixiao YANG, Fang XU, Xiaohui YANG, Huanqin LIAO, Weihua ZHANG, Wen PAN. Effects of Different Water and Nutrient Treatments on Growth and Biomass Distribution of Eucalyptus urophylla Clones [J]. Bulletin of Botanical Research, 2022, 42(4): 667-676. |
| [15] | Shubing BAI, Xiaoyi XING, Wenyu GUAN, Li DONG. Effects of Shouyun Iron Mine Abandoned Soil on the Growth of Two Sedum Species [J]. Bulletin of Botanical Research, 2022, 42(4): 677-687. |
| Viewed | ||||||
|
Full text |
|
|||||
|
Abstract |
|
|||||