Bulletin of Botanical Research ›› 2024, Vol. 44 ›› Issue (5): 670-680.doi: 10.7525/j.issn.1673-5102.2024.05.004
• Plant reproductive biology • Previous Articles Next Articles
Qingjiyan WANG1, Jin LI1, Tian LI1, Yu XING2, Ling QIN2, Kefeng FANG1(
)
Received:2023-11-02
Online:2024-09-20
Published:2024-09-23
Contact:
Kefeng FANG
E-mail:fangkefeng@126.com
CLC Number:
Qingjiyan WANG, Jin LI, Tian LI, Yu XING, Ling QIN, Kefeng FANG. Anatomical Structure and Cell Wall Components Changes in Chestnut ‘Yanshan Hongli’ Female Flowers at Developmental Stages[J]. Bulletin of Botanical Research, 2024, 44(5): 670-680.
Add to citation manager EndNote|Ris|BibTeX
URL: https://bbr.nefu.edu.cn/EN/10.7525/j.issn.1673-5102.2024.05.004
Fig.2
Light field micrograph of longitudinal section of female flowers in different periods of C. mollissimaa.Flower primordium differentiation stage;b-c.The differentiation stage of stigma primordium;d-e.Style elongation stage;f-g.Flowering stage;SE.Sepal primordium;PP.Pistil primordium;SR.Stamen primordium;SP.Stigma primordium;St.Style.
Fig.4
Fluorescent labeling of cellulose in longitudinal section of female flowers in different periods of C. mollissimaa.The fluorescence intensity of cellulose in flower primordium differentiation stage was low;b-c.The fluorescence intensity of cellulose gradually increased at the differentiation stage of stigma primordium and the initial stage of stigma elongation;d-e.The fluorescence intensity of cellulose continued to increase during the elongation of style;f-g.The fluorescence intensity of cellulose increased to the highest at flowering stage;St.Style.
Fig.5
Fluorescent labeling of cellulose in transverse section of female flowers in different periods of C. mollissimaa.The fluorescence intensity of cellulose in flower primordium differentiation stage was low;b-c.The fluorescence intensity of cellulose gradually increased at the differentiation stage of stigma primordium and the initial stage of stigma elongation;d-e.The fluorescence intensity of cellulose continued to increase during the elongation of style;f-g.The fluorescence intensity of cellulose increased to the highest at flowering stage;Oy.Ovary.
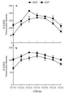
Fig.6
Changes of cellulose fluorescence intensity in che-stnut female flowers at different stagesa.Changes of cellulose fluorescence intensity in transverse section of chestnut female flowers at different stages;b.Changes of cellulose fluorescence intensity in longitudinal section of chestnut female flowers at different stages.
Fig.7
Fluorescent labeling of pectin in longitudinal section of female flowers in C. mollissimaa.The fluorescence intensity of acidic pectin at flower primordium differentiation stage was low;b-d.The fluorescence intensity of acidic pectin gradually increased during stigma primordium differentiation and style elongation stage;i-k.The fluorescence intensity of acidic pectin decreased gradually at flowering stage;e.The fluorescence intensity of esterified pectin at flower primordium differentiation stage was low;f-h.The fluorescence intensity of esterified pectin gradually increased at stigma primordium differentiation stage and style elongation stage;l-n.The fluorescence intensity of esterified pectin decreased gradually at flowering stage;St.Style;Mf.Male flower.
Fig.8
Fluorescent labeling of pectin in transverse section of female flowers in C. mollissimaa.The fluorescence intensity of acidic pectin at flower primordium differentiation stage was low;b-d.The fluorescence intensity of acidic pectin gradually increased during stigma primordium differentiation and style elongation;e.The fluorescence intensity of esterified pectin at flower primordium differentiation stage was low;f-h.The fluorescence intensity of esterified pectin gradually increased in stigma primordium differentiation stage and style elongation stage;i-k.The fluorescence intensity of acidic pectin decreased gradually at flowering stage;l-n.The fluorescence intensity of esterified pectin decreased gradually at flowering stage;St.Style;Oy.Ovary.
Fig.9
Changes of fluorescence intensity of acidic pectin and esterified pectin in chestnut female flowers at different stagesa.Changes of fluorescence intensity of acidic pectin and esterified pectin in transverse section of chestnut female flowers at different stages;b.Changes of fluorescence intensity of acidic pectin and esterified pectin in the longitudinal section of chestnut female flowers at different stages.
| 1 | 苏强.三个不同类型板栗雌花花芽分化的观察及生理基础[D].秦皇岛:河北科技师范学院,2023. |
| SU Q.Observation and physiological basis of flower bud differentiation of female flowers of three different types of chestnut[D].Qinhuangdao:Hebei Normal University of Science and Technology,2023. | |
| 2 | 孙小兵,郭素娟.成龄板栗组培快繁体系的建立及影响因素的研究[J].中南林业科技大学学报,2015,35(4):51-55. |
| SUN X B, GUO S J.Establishment and influencing factors of micropropagation system in mature Castanea mollissima [J].Journal of Central South University of Forestry and Technology,2015,35(4):51-55. | |
| 3 | 田应秋,梁及芝.我国板栗生产现状、存在问题及发展对策[J].中国果业信息,2005,21(6):11-12. |
| TIAN Y Q, LIANG J Z.Chinese chestnut production status,existing problems and development countermeasures[J].China Fruit News,2005,21(6):11-12. | |
| 4 | 刘阳,刘建玲,刘海涛,等.板栗雄花序败育新品种‘怀奇’[J].园艺学报,2023,50():31-32. |
| LIU Y, LIU J L, LIU H T,et al.A new cultivar with staminate catkin abortion of Chinese chestnut ‘Huaiqi’[J].Acta Horticulturae Sinica,2023,50(Sup.):31-32. | |
| 5 | 张林平,李保国,白志英,等.板栗雌花簇分化过程观察[J].果树学报,1999,16(4):280-283. |
| ZHANG L P, LI B G, BAI Z Y,et al.Observation on the differentiation process of female flower clusters in chestnut[J].Journal of Fruit Science,1999,16(4):280-283. | |
| 6 | 郜爱玲,李建安,刘儒,等.高等植物花芽分化机理研究进展[J].经济林研究,2010,28(2):131-136. |
| GAO A L, LI J A, LIU R,et al.Advances in research on flower bud differentiation mechanism in higher plants[J].Non-wood Forest Research,2010,28(2):131-136. | |
| 7 | 郭志刚,张伟,五井正宪.金缕梅的叶芽形成与花芽分化[J].园艺学报,2000,27(6):428-432. |
| GUO Z G, ZHANG W, WU J Z X.Differentiation of vegetative bud and flower bud of Hamamelis×intermedia [J].Acta Horticulturae Sinica,2000,27(6):428-432. | |
| 8 | SHANG L X, MA D D, HONG S D,et al.Observation on flower bud differentiation of crape myrtle in red soil environment[J].Phyton-International Journal of Experimental Botany,2022,91(12):2607-2617. |
| 9 | 郝敬虹,齐红岩,阎妮,等.园艺作物花芽分化的研究进展[J].农业科技与装备,2008(1):7-9. |
| HAO J H, QI H Y, YAN N,et al.Advances in researches on flower bud differentiation of horticultural crops[J].Agricultural Science & Technology and Equipment,2008(1):7-9. | |
| 10 | 任立中,杨其光,杜国华.板栗花性别和器官分化的研究:Ⅱ板栗生殖器官的发育和分化[J].安徽农学院学报,1981(2):41-48,99-100. |
| REN L Z, YANG Q G, DU G H.Studies on the flower sex differentiation and organ differentiation of Chinese chestunt(Castanea mollissima BL.) Ⅱ.the development and differentiation of reproductive organs of Chinese chestnut[J].Journal of Anhui Agricultural University,1981(2):41-48,99-100. | |
| 11 | 王家玉.板栗增雌花减雄花的技术措施[J].林业工程学报,1995(1):48-49. |
| WANG J Y.Technical measures for increasing female flowers and decreasing male flowers in chestnut[J].Journal of Forestry Engineering,1995(1):48-49. | |
| 12 | 李中涛,郎丰华.栗芽发育特性的研究[J].园艺学报,1964,3(1):17-30. |
| LI Z T, LANG F H.Study on the development characteristics of chestnut buds[J].Acta Horticulturae Sinica,1964,3(1):17-30. | |
| 13 | 张立民,苏淑钗.板栗的花芽分化及其影响因素研究进展[J].落叶果树,2007,39(1):8-9. |
| ZHANG L M, SU S C.Research progress on flower bud differentiation of chestnut and its influencing factors[J].Deciduous Fruits,2007,39(1):8-9. | |
| 14 | CRUZ-VALDERRAMA J E, BERNAL-GALLARDO J J, HERRERA-UBALDO H,et al.Building a flower:the influence of cell wall composition on flower development and reproduction[J].Genes,2021,12(7):978. |
| 15 | XU S L, ZHANG M C, YE J H,et al.Brittle culm 25,which encodes an UDP-xylose synthase,affects cell wall properties in rice[J].The Crop Journal,2023,11(3):733-743. |
| 16 | VORWERK S, SOMERVILLE S, SOMERVILLE C.The role of plant cell wall polysaccharide composition in disease resistance[J].Trends in Plant Science,2004,9(4):203-209. |
| 17 | TSUKAYA H, BEEMSTER G T S.Genetics,cell cycle and cell expansion in organogenesis in plants[J].Journal of Plant Research,2006,119(1):1-4. |
| 18 | BASKIN T I.Anisotropic expansion of the plant cell wall[J].Annual Review of Cell and Developmental Biology,2005,21:203-222. |
| 19 | YU J, MENG Z L, LIANG W Q,et al.A rice Ca2+ binding protein is required for tapetum function and pollen formation[J].Plant Physiology,2016,172(3):1772-1786. |
| 20 | ADITYA J, LEWIS J, SHIRLEY N J,et al.The dynamics of cereal cyst nematode infection differ between susceptible and resistant barley cultivars and lead to changes in(1,3;1,4)-β-glucan levels and HvCslF gene transcript abundance[J].New Phytologist,2015,207:135-147. |
| 21 | COIMBRA S, ALMEIDA J, JUNQUEIRA V,et al.Arabinogalactan proteins as molecular markers in Arabidopsis thaliana sexual reproduction[J].Journal of Experimental Botany,2007,58(15/16):4027-4035. |
| 22 | O’DONOGHUE E M.Flower petal cell walls:changes associated with flower opening and senescence[J].New Zealand Journal of Forestry Science,2006,36(1):134-144. |
| 23 | SÉNÉCHAL F, WATTIER C, RUSTÉRUCCI C,et al.Homogalacturonan-modifying enzymes:structure,expression,and roles in plants[J].Journal of Experimental Botany,2014,65(18):5125-5160. |
| 24 | MEENTS M J, WATANABE Y, SAMUELS A L.The cell biology of secondary cell wall biosynthesis[J].Annals of Botany,2018,121(6):1107-1125. |
| 25 | SAXENA I M, BROWN J R M.Cellulose biosynthesis:current views and evolving concepts[J].Annals of Botany,2005,96(1):9-21. |
| 26 | POLKO J K, KIEBER J J.The regulation of cellulose biosynthesis in plants[J].The Plant Cell,2019,31(2):282-296. |
| 27 | 却枫,查若飞,魏强.植物纤维素合成酶研究进展[J].南京林业大学学报(自然科学版),2022,46(6):207-214. |
| QUE F, ZHA R F, WEI Q.Research progress of plant cellulose synthase[J].Journal of Nanjing Forestry University(Natural Sciences Edition),2022,46(6):207-214. | |
| 28 | 程小乔,李科,陈雪梅,等.若干双子叶与单子叶植物细胞壁果胶结构单糖组成特征研究[J].北京林业大学学报,2012,34(5):44-49. |
| CHENG X Q, LI K, CHEN X M,et al.Comparison of pectin structural monosaccharides in cell wall of dicotyledon and monocotyledon[J].Journal of Beijing Forestry University,2012,34(5):44-49. | |
| 29 | 刘佩佩,张耿,李晓娟.植物果胶的生物合成与功能[J].植物学报,2021,56(2):191-200. |
| LIU P P, ZHANG G, LI X J.Biosynthesis and function of plant pectin[J].Chinese Bulletin of Botany,2021,56(2):191-200. | |
| 30 | CUI Y N, LING Y, ZHOU J H,et al.Interference of the histone deacetylase inhibits pollen germination and pollen tube growth in Picea wilsonii Mast[J].PLoS One,2015,10(12):e0145661. |
| 31 | 杜兵帅,张卿,曹庆芹,等.板栗胚胎及胚乳发育过程的形态解剖观察[J].北京农学院学报,2020,35(2):48-52. |
| DU B S, ZHANG Q, CAO Q Q,et al.Morphological and anatomical observation of embryo and endosperm development of Castanea mollissima [J].Journal of Beijing University of Agriculture,2020,35(2):48-52. | |
| 32 | 王丽媛,郭素娟.板栗‘燕山早丰’雌花分化的解剖学研究[J].中南林业科技大学学报,2017,37(1):43-47. |
| WANG L Y, GUO S J.Study on anatomy of development of female flower in chestnut ‘Yanshanzaofeng’[J].Journal of Central South University of Forestry & Technology,2017,37(1):43-47. | |
| 33 | 严蕾,张荣,石卓功.“永丰1号”板栗雌花分化组织形态学研究[J].北方园艺,2018(15):52-57. |
| YAN L, ZHANG R, SHI Z G.Morphological study on female flower differentiation in chestnut of ‘Yongfeng No.1’[J].Northern Horticulture,2018(15):52-57. | |
| 34 | FAN C F, WANG G Y, WU L M,et al.Distinct cellulose and callose accumulation for enhanced bioethanol production and biotic stress resistance in OsSUS3 transgenic rice[J].Carbohydrate Polymers,2020,232:115448. |
| 35 | BÁRÁNY I, FADÓN B, RISUEÑO M C,et al.Cell wall components and pectin esterification levels as markers of proliferation and differentiation events during pollen development and pollen embryogenesis in Capsicum annuum L.[J].Journal of Experimental Botany,2010,61(4):1159-1175. |
| 36 | WILLIAMSON R E, BURN J E, BIRCH R,et al.Morphology of rsw1,a cellulose-deficient mutant of Arabidopsis thaliana [J].Protoplasma,2001,215:116-127. |
| 37 | YAP Y M, LOH C S, ONG B L.Regulation of flower development in Dendrobium crumenatum by changes in carbohydrate contents,water status and cell wall metabolism[J].Scientia Horticulturae,2008,119(1):59-66. |
| 38 | XU Y, WANG Y P, DU J G,et al.A DE1 BINDING FACTOR 1-GLABRA2 module regulates rhamnogalacturonan I biosynthesis in Arabidopsis seed coat mucilage[J].The Plant Cell,2022,34(4):1396-1414. |
| 39 | LING Y, CHEN T, JING Y P,et al. γ-Aminobutyric acid (GABA) homeostasis regulates pollen germination and polarized growth in Picea wilsonii [J].Planta,2013,238(5):831-843. |
| 40 | HASEGAWA K, KAMADA S, TAKEHARA S,et al.Rice putative methyltransferase gene OsPMT16 is required for pistil development involving pectin modification[J].Frontiers in Plant Science,2020,11:475. |
| 41 | ANDRES-ROBIN A, REYMOND M C, DUPIRE A,et al.Evidence for the regulation of gynoecium morphogenesis by ettin via cell wall dynamics[J].Plant Physiology,2018,178(3):1222-1232. |
| 42 | SHI H Y, ZHU L, ZHOU Y,et al.A cotton gene encoding a polygalacturonase inhibitor-like protein is specifically expressed in petals[J].Acta Biochimica et Biophysica Sinica,2009,41(4):316-324. |
| [1] | Jing WANG, Yingcai ZHANG, Shanshan TAO, Xue YANG. Effects of Pectinase on the Distribution of Arabinogalactan Proteins in Developing Fruit of Ziziphus jujuba ‘Lingwu Changzao’ [J]. Bulletin of Botanical Research, 2024, 44(1): 62-74. |
| [2] | Teng LI, Cunyu ZHOU, Chaodong YANG, Zhanfeng LIU. Anatomical and Histochemical Features of the Pteris vittata (Pteridaceae) [J]. Bulletin of Botanical Research, 2023, 43(1): 20-29. |
| [3] | ZU Kui-Ling, DONG Shu-Bin, LI Jian-Xia, ZHAO Yun-Yu, ZHAO Liang-Cheng. Sequence and Expression Analysis of MADS-box Genes in Celastrus orbiculatus Thunb. Based on RNA-seq Data [J]. Bulletin of Botanical Research, 2017, 37(1): 69-77. |
| [4] | SHEN Ting-Ting, JIANG Jing, LIU Gui-Feng, XU Si-Jia, LI Hui-Yu, YUAN Hong-Mei. Bioinformatics and Expression Analysis of BpCesA Genes of Betula platyphylla [J]. Bulletin of Botanical Research, 2016, 36(6): 909-916. |
| [5] | QUAN Di, WANG Yong, ZHANG Qian-Qian, LI Jian, ZHAO Xiao-Hong. Regeneration and Performance Measurement of Plant Fiber in Grass Family of Phragmites [J]. Bulletin of Botanical Research, 2016, 36(4): 620-626. |
| [6] | MENG Qing-Huan1;ZU Yuan-Gang1;WANG Hua2;WANG Hong-Zheng1;JIANG Tao3;WU Wei-Wei1;ZHONG Chen1;DUAN Xi-Hua1*. Enzyme Assisted Ethanol Extraction of Total Flavonoids from Peony Episperm [J]. Bulletin of Botanical Research, 2015, 35(4): 628-631. |
| [7] | CUI Zhi-Yuan;LIU Gui-Feng;LI Bo;GUO Hai-Feng;WEI Xing-Biao;WANG Chao. Effect of Fertilization on Woody Characteristics of Betula platyphylla [J]. Bulletin of Botanical Research, 2015, 35(3): 412-417. |
| [8] | HU Shang-Lian;JIANG Yao;CHEN Qi-Bing;CAO Ying;SUN Xia;LU Xue-Qin. Physical and Chemical Properties of 2 Species in Bamboos from the Different Regions in Sichuan Province [J]. Bulletin of Botanical Research, 2010, 30(6): 708-712. |
| [9] | HU Shang-Lian;CAO Ying;LU Xue-Qin;HAN Ying;JIA Ju-Qing;SUN Xia;ZHANG Meng. Effects of Nitrogen and Potassium on Dynamic Accumulation of Lignin and Cellulose in Neosinocalamus affinis [J]. Bulletin of Botanical Research, 2009, 29(6): 728-733. |
| [10] | HU Shang-Lian;JIA Ju-Qing;CAO Ying;SUN Xia;LU Xue-Qin. Effect of GA3 and IAA on the Dynamic Accumulation of Holocellulose and Chlorophyl Content in Neosinocalamus affinis [J]. Bulletin of Botanical Research, 2008, 28(6): 737-740. |
| [11] | KONG Dong-Mei;SHEN Hai-Long;LÜJin-Hui. Anatomic Observation on Female Flower Development, Megasporogenesis and Embryo Development of Fraxinus mandshurica [J]. Bulletin of Botanical Research, 2008, 28(4): 387-391. |
| [12] | HUANG Zuo-Xi;WANG Fang;ZHANG Yun-Gang;ZHOU Ling-Ling;YU Guo-Zhi;DUAN Hui-Guo;. The Induction of Female Flowers in Cotyledons of Cucumber (Cucumis sativus L.) in Vitro [J]. Bulletin of Botanical Research, 2008, 28(3): 283-287. |
| [13] | WANG Chao;YANG Chuan-Ping*;WEI Ji-Cheng;JIANG Jing. Construction and EST Analysis of Suppression Subtractive Hybridization Library of Betula platyphylla Female Inflorescence [J]. Bulletin of Botanical Research, 2008, 28(3): 293-298. |
| [14] | JIANG Jing, LI Tong-Hua, CHUANG Zhen-Dong, YANG Chuan-Ping. THE ANATOMIC OBSERVATION OF THE DEVELOPMENT OF FEMALE FLOWER MEGASPOREGENSIS AND THE DEVELOPMENT OF EMBRYO OF BETULA PLATYHYLLA [J]. Bulletin of Botanical Research, 2003, 23(1): 46-50. |
| Viewed | ||||||
|
Full text |
|
|||||
|
Abstract |
|
|||||