Welcome to Bulletin of Botanical Research! Today is Share:

Bulletin of Botanical Research ›› 2024, Vol. 44 ›› Issue (4): 565-575.doi: 10.7525/j.issn.1673-5102.2024.04.009

• Physiology and Ecology • Previous Articles    

Analysis of the Alleviating Mechanism of Selenium on Cadmium Stress in Astragalus membranaceus

Hongzheng WANG1,2,3, Shaolian YU2,3, Yuehua MA2,3, Lingyun REN2,3, Hongwei NI1,4()   

  1. 1.Institute of Natural Resources and Ecology,Heilongjiang Academy of Sciences,Harbin 150040
    2.The Key Laboratory of Forest Plant Ecology,Ministry of Education,Northeast Forestry University,Harbin 150040
    3.College of Chemistry,Chemical Engineering and Resource Utilization,Northeast Forestry University,Harbin 150040
    4.Heilongjiang Academy of Forestry,Harbin 150081
  • Received:2024-01-07 Online:2024-07-20 Published:2024-07-09
  • Contact: Hongwei NI E-mail:nihongwei2000@163.com

Abstract:

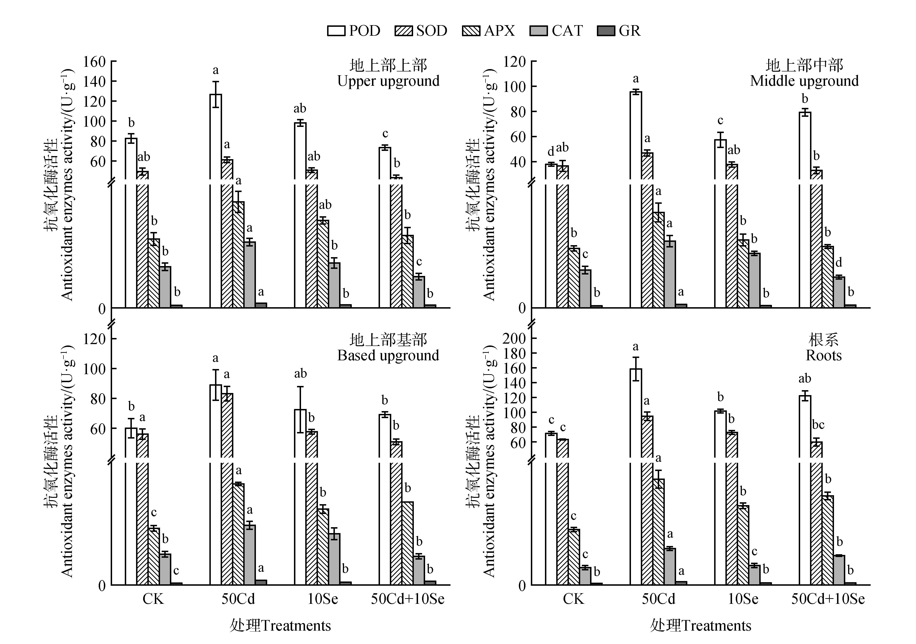
In order to reveal the mechanism of selenium alleviating the cadmium stress in Astragalus membranaceus, the traditional medicinal plant A. membranaceus was used as materials, and the roles of ion antagonism, antioxidant enzyme system, heavy metal chelates and isoflavones in alleviating the Cd stress by Se were clarified comprehensively using hydroponic cultivation method. The results showed that 10 μmol·L-1 Se significantly improved the growth of A. membranaceus seedlings under 50 μmol·L-1 Cd stress, and reduced the accumulation of reactive oxygen species and membrane lipid peroxidation levels. The addition of Se significantly reduced the Cd content in all parts of A. membranaceus under Cd treatment. Meanwhile, the addition of Cd also reduced the Se content, indicating that it has a significant antagonistic effect on the absorption of Se and Cd. Se reduced the activities of POD, SOD, APX, CAT and GR in all parts of A. membranaceus under Cd stress. Correlation analysis showed that various antioxidant enzymes activities were significantly positively correlated with O2?- content, suggesting that the changes of antioxidant enzyme activity were more adapted to the level of reactive oxygen species in the plants. In addition, the addition of Se also reduced the content of non-protein sulfhydryl groups and metallothionein in all parts of A. membranaceus exposed to Cd treatment, and the contents showed a good positive correlation with the Cd content in corresponding part, indicating that the content of heavy metal chelates was regulated by the Cd content in various parts. Unlike antioxidant enzymes and metallothionein, the contents of three isoflavone components were significantly increased by Se addition in the roots of A. membranaceus seedlings under Cd stress. Furthermore, the expression levels of key enzyme genes in the isoflavone synthesis pathway, including CHSIFSI3'HIOMT and UCGT, were significantly upregulated by Se under Cd stress. In summary, Se decreased the content of Cd in A. membranaceus seedlings under Cd treatment by antagonizing Cd during the absorption process, and reduced the degree of plant stress. At the same time, Se improved the tolerance of plant to Cd stress by upregulating the synthesis of secondary metabolites such as isoflavones.

Key words: selenium, cadmium stress, alleviation, Astragalus membranaceus, isoflavone

CLC Number: 

Baidu
map