Welcome to Bulletin of Botanical Research! Today is Share:

Bulletin of Botanical Research ›› 2024, Vol. 44 ›› Issue (1): 118-131.doi: 10.7525/j.issn.1673-5102.2024.01.014

• Physiology and Ecology • Previous Articles     Next Articles

Nitric Oxide Mediates Brassinosteroids-induced Chilling Tolerance in Chorispora bungeana Suspension Cultured Cells

Yajie LIU1, Lizhe AN2,3()   

  1. 1.State Key Laboratory of Herbage Improvement and Grassland Agro-ecosystems/Key Laboratory of Grassland Livestock Industry Innovation,Ministry of Agriculture and Rural Affairs/Engineering Research Center of Grassland Industry,Ministry of Education/College of Pastoral Agriculture Science and Technology,Lanzhou University,Lanzhou 730020
    2.School of Life Sciences,Lanzhou University,Lanzhou 730000
    3.School of Ecology and Nature Conservation,Beijing Forestry University,Beijing 100083
  • Received:2023-04-18 Online:2024-01-20 Published:2023-12-27
  • Contact: Lizhe AN E-mail:anlizhe@bjfu.edu.cn

Abstract:

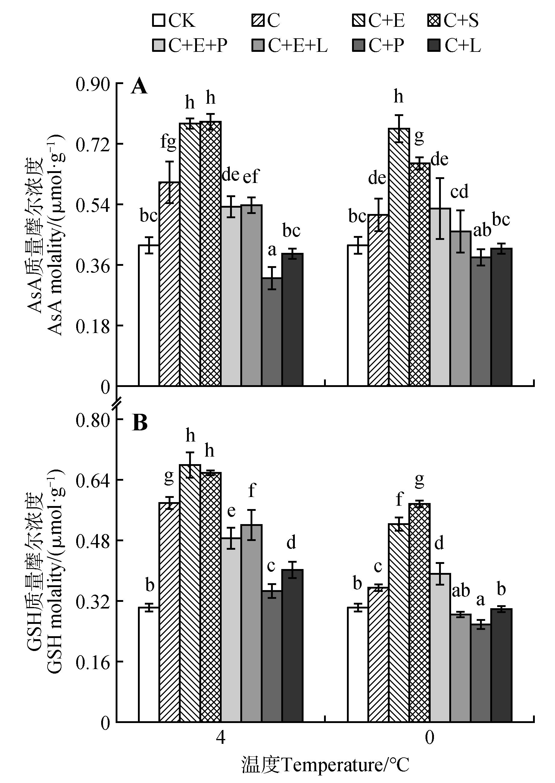
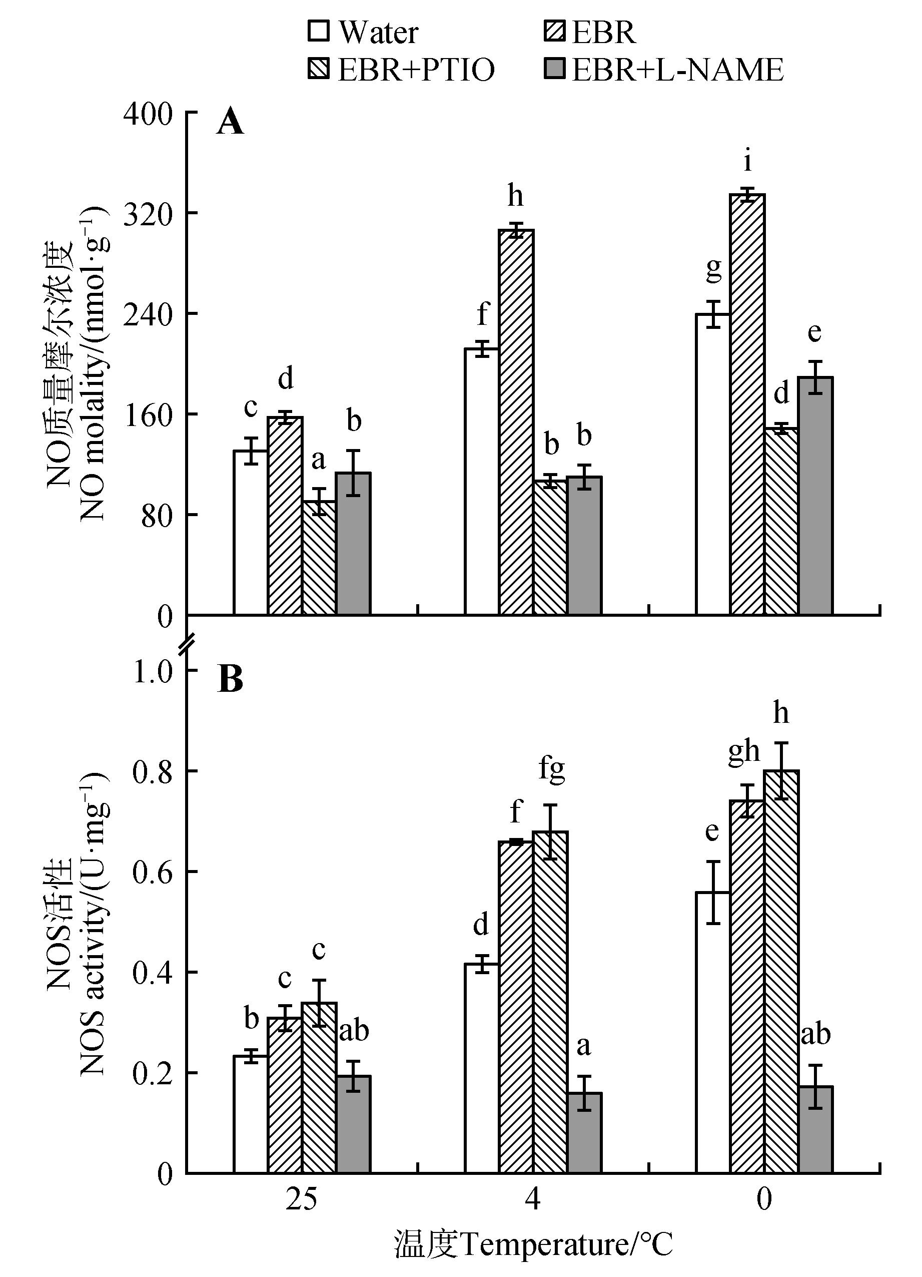
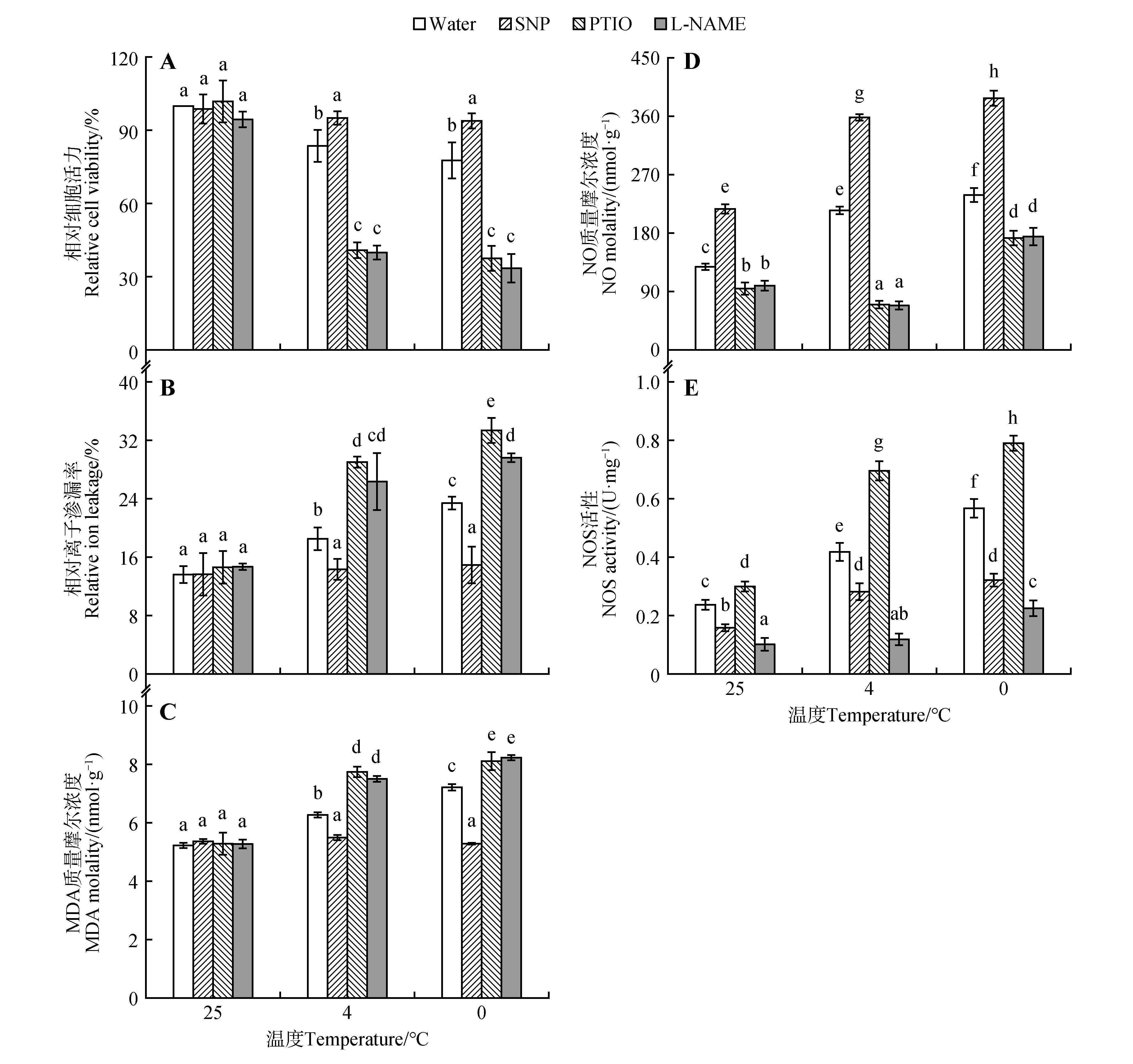
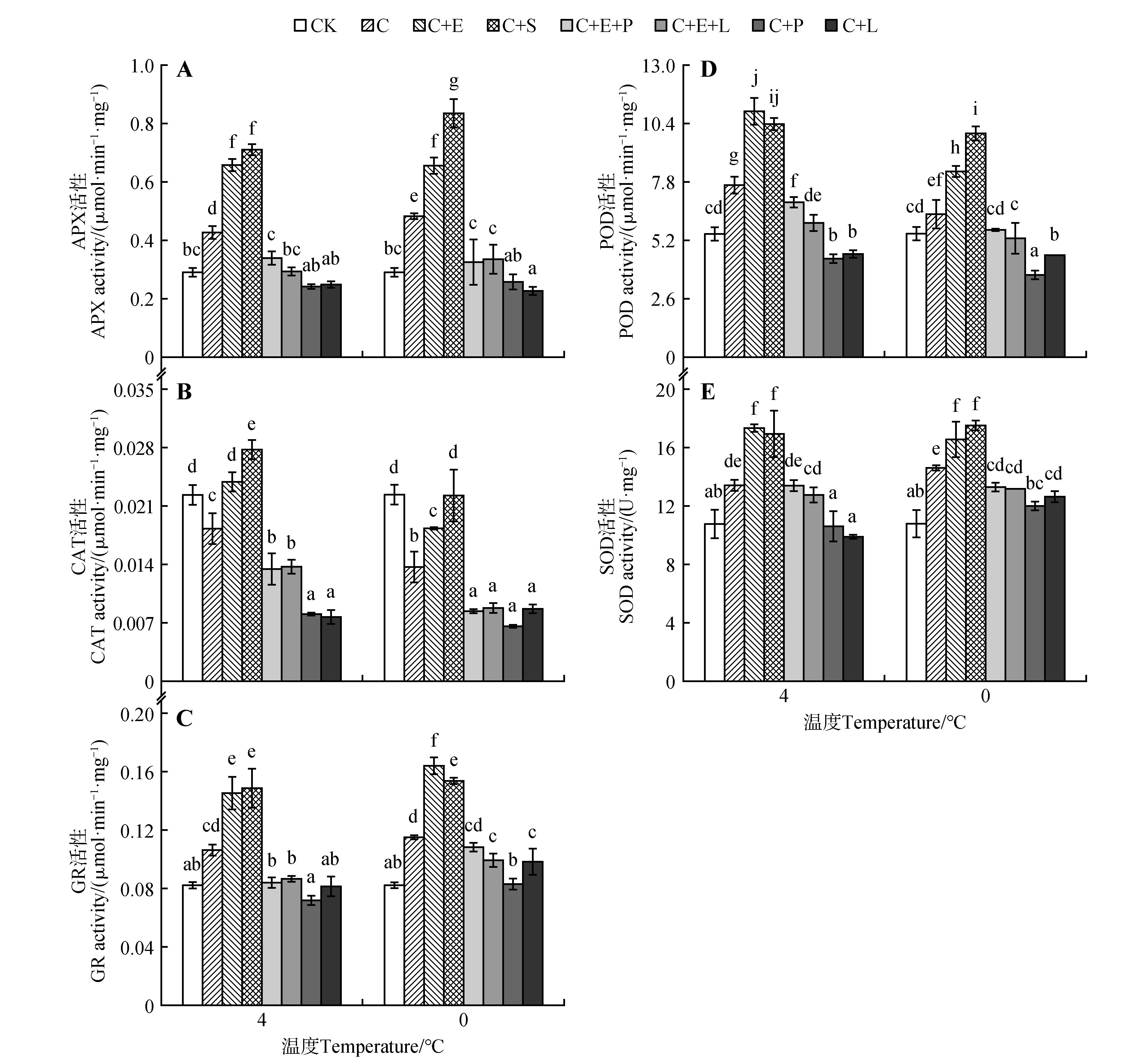
In order to investigate whether brassinosteroids(BRs)-induced chilling tolerance is regulated through nitric oxide(NO) signaling molecule, the suspension cultured cells of Chorispora bungeana were treated with 24-epibrassinolide(EBR), NO donor SNP, NO scavenger PTIO, nitric oxide synthase(NOS) inhibitor L-NAME, EBR+PTIO and EBR+L-NAME respectively, and the effects of the above treatments on chilling tolerance, reactive oxygen species(ROS) levels and antioxidant defense system were analyzed in the cells under low temperature stress. The results showed that: (1)exogenous EBR treatment enhanced chilling tolerance in the suspension cultures and alleviated the inhibition of cell viability and aggravations of ion leakage and membrane lipid peroxidation induced by low temperature. The effects of SNP treatment on the above physiological measures were similar to those of EBR. (2)Application of PTIO or L-NAME in combination with EBR significantly decreased cell viability and increased ion leakage and membrane lipid peroxidation in C. bungeana suspension cultures under chilling stress compared with those of EBR treatment alone, suggesting that the block in NO signaling decreased the EBR-enhanced chilling tolerance. (3)EBR treatment further increased NO production and NOS activity in the suspension cells compared with those under chilling stress alone, whereas the EBR-induced NO signal was quenched by the addition of PTIO or L-NAME. (4)Both EBR and SNP obviously inhibited the increases in hydrogen peroxide(H2O2) content, superoxide radical(O2·) production rate and hydroxyl radical (OH-content caused by chilling, and remarkably enhanced the activities of ascorbate peroxidase(APX), catalase(CAT), glutathione reductase(GR), peroxidase(POD) and superoxide dismutase(SOD) and contents of ascorbate (AsA) and glutathione(GSH) in the suspension cultured cells, thus alleviating oxidative injury caused by low temperature. However, PTIO and L-NAME blocked the protective effects of EBR. In conclusion, these results suggested that EBR-induced chilling tolerance in C. bungeana suspension cultured cells was through the promotion of NO accumulation by activating NOS activity. EBR might confer an increased tolerance to chilling stress by suppressing the accumulation of ROS caused by chilling and enhancing antioxidant defense system in the suspension cells, both of which were partially regulated by NO signal, resulting in the alleviation of chilling-induced oxidative damage and membrane lipid peroxidation. Thus, NOS-derived NO might be a downstream signaling molecule of EBR signal in C. bungeana suspension cultured cells under low temperature stress.

Key words: brassinosteroids, nitric oxide, Chorispora bungeana, chilling tolerance, reactive oxygen species, antioxidant defense system

CLC Number: 

Baidu
map