Welcome to Bulletin of Botanical Research! Today is Share:

Bulletin of Botanical Research ›› 2023, Vol. 43 ›› Issue (5): 768-778.doi: 10.7525/j.issn.1673-5102.2023.05.013

• Molecular biology • Previous Articles     Next Articles

Functional Analysis of FmCCoAOMT Gene in Fraxinus mandshurica During Lignin Synthesis and Abiotic Stress

Chaoran SHAN1, Xiaohu CHEN1, Yunfei DING2, Wei ZHAO2, Han LU1, Shangzhu GAO1, Fenghui QI1, Yaguang ZHAN1, Fansuo ZENG1()   

  1. 1.College of Life Science,Northeast Forestry University,Harbin 150040
    2.Forestry and Grassland Bureau of Hailin,Mudanjiang 157100
  • Received:2023-05-03 Online:2023-09-20 Published:2023-09-05
  • Contact: Fansuo ZENG E-mail:zeng@nefu.edu.cn
  • About author:SHAN Chaoran(1996—),female,postgraduate,major in forest tree genetic improvement research.
  • Supported by:
    Basic Research Funds for Central Universities(2572021DT06);Innovation project of State Key Laboratory of Forest Tree Genetics and Breeding(2022A03)

Abstract:

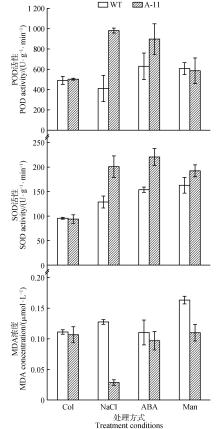
To clarify the function of FmCCoAOMT gene, the expression pattern of FmCCoAOMT gene was analyzed by qRT-PCR using Fraxinus mandshurica as material in this study. The results showed that FmCCoAOMT gene was tissue specific. The expression level was the highest in the xylem of both female and male perennial plants, and was 9.4 times higher than that in the bark of new shoots in male plants, and was 13.1 times higher than that of leaf in female plants. The leaf disk method was used to obtain transgenic tobacco plants. Compared with the wild type, the lignin content of overexpressing FmCCoAOMT was increased by 41%, while the cellulose and hemicellulose contents were decreased by 32% and 52%, respectively. Tobacco overexpressing FmCCoAOMT after abiotic stress treatment compared to wild type, the activity of POD and SOD increased, the content of MDA decreased, and the content of reactive oxygen decreased after stress treatment. After NaCl treatment, POD activity was 83% higher than that of control group. After NaCl, ABA and mannitol treatments, SOD activity increased by 56.6%, 44.2% and 19.0%, and MDA content decreased by 77.2%, 11.7% and 47.6%, respectively. The results indicated that FmCCoAOMT gene might be involved in lignin synthesis of F. mandshurica, promoted abiotic stress tolerance.

Key words: Fraxinus mandshurica, Lignin, FmCCoAOMT, Abiotic stress

CLC Number: 

Baidu
map