Bulletin of Botanical Research ›› 2022, Vol. 42 ›› Issue (2): 299-308.doi: 10.7525/j.issn.1673-5102.2022.02.015
• Physiology and Ecology • Previous Articles Next Articles
Yaqi Dai1, Yanping Liu1,3, Lu Han2,3, Haizhen Wang2,3,*
Received:2021-03-04
Online:2022-03-20
Published:2022-02-22
Contact:
Haizhen Wang
About author:Dai Yaqi(1996—),femal,master candidate,mainly engaged in physiological research of plant stress.
Supported by:CLC Number:
Yaqi Dai, Yanping Liu, Lu Han, Haizhen Wang. [J]. Bulletin of Botanical Research, 2022, 42(2): 299-308.
Add to citation manager EndNote|Ris|BibTeX
URL: https://bbr.nefu.edu.cn/EN/10.7525/j.issn.1673-5102.2022.02.015
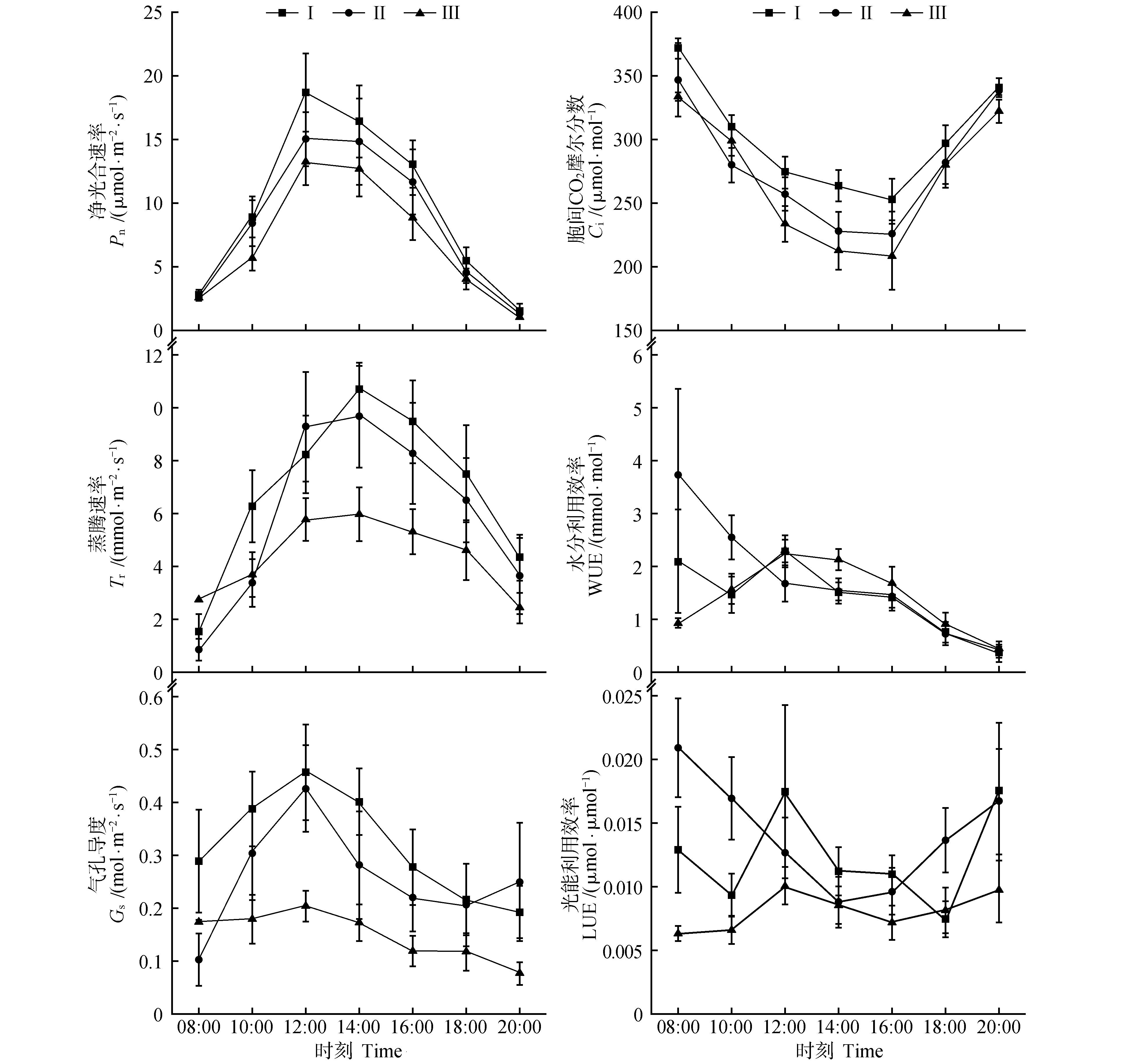
Table 2
Correlation coefficients of photosynthetic rate,transpiration rate and in-external factors
样地 Plot | 气孔导度 Gs /(mol·m-2·s-1) | 胞间CO2摩尔分数 Ci /(μmol·mol-1) | 气温 Tair /℃ | 光合有效辐射 PAR /(μmol·m-2·s-1) | 大气相对湿度 RH /% | 水汽压差 VPD /kPa | 大气CO2摩尔分数 Ca /(μmol·mol-1) | |
|---|---|---|---|---|---|---|---|---|
净光合速率 Pn | Ⅰ | 0.720 7** | -0.781 8** | 0.273 8* | 0.821 0** | 0.096 5 | -0.022 9 | -0.176 0* |
| Ⅱ | 0.698 0** | -0.729 2** | 0.506 2** | 0.864 6** | -0.579 7** | 0.423 3** | -0.567 5** | |
| Ⅲ | 0.604 1** | -0.780 6** | 0.181 5 | 0.901 5** | 0.113 3 | 0.065 7 | -0.028 8 | |
蒸腾速率 Tr | Ⅰ | 0.551 8** | -0.679 3** | 0.696 8** | 0.750 8** | -0.442 5** | 0.407 9** | -0.492 0** |
| Ⅱ | 0.603 2** | -0.691 5** | 0.772 6** | 0.806 4** | -0.819 5** | 0.696 6** | -0.637 4** | |
| Ⅲ | 0.621 3** | -0.586 4** | 0.406 5** | 0.700 6** | -0.203 1 | 0.275 5** | -0.168 8 |
Table 3
Partial correlation coefficients of photosynthetic rate, transpiration rate and in-external factors
光合指标 Photosynthetic indexes | 样地 Plot | 气孔导度 Gs /(mol·m-2·s-1) | 胞间CO2摩尔分数 Ci /(μmol·mol-1) | 气温 Tair /℃ | 光合有效辐射 PAR /(μmol·m-2·s-1) | 大气相对湿度 RH /% | 水汽压差 VPD /kPa | 大气CO2摩尔分数 Ca /(μmol·mol-1) |
|---|---|---|---|---|---|---|---|---|
净光合速率 Pn | Ⅰ | 0.779 0** | -0.859 0** | -0.148 5 | -0.116 4 | 0.131 6 | 0.189 0* | -0.018 0 |
| Ⅱ | 0.762 2** | -0.662 2** | -0.342 9** | 0.038 0 | -0.217 9* | 0.294 5* | 0.163 4 | |
| Ⅲ | 0.806 2** | -0.805 6** | 0.478 9** | -0.305 0* | 0.586 4** | -0.152 1 | 0.069 9 | |
蒸腾速率 Tr | Ⅰ | 0.856 3** | 0.115 8 | -0.262 8* | 0.397 3** | -0.363 8** | 0.629 7** | 0.038 1 |
| Ⅱ | 0.731 3** | 0.086 9 | -0.072 1 | 0.058 8 | -0.058 8 | 0.572 4** | 0.114 5 | |
| Ⅲ | 0.920 7** | 0.173 7 | 0.386 2** | 0.128 1 | 0.273 6* | 0.581 9** | 0.049 8 |
Table 4
Optimal regression equation of photosynthetic rate, transpiration rate and in-external factors
光合指标 Photosynthetic indexes | 样地 Plot | 最优回归方程 Optimal regression equation | R2 |
|---|---|---|---|
净光合速率 Pn | Ⅰ | Pn=64.482+30.186Gs-0.150Ci-0.683Tair+0.968VPD | 0.977 0** |
| Ⅱ | Pn=46.811+29.954Gs-0.088Ci-0.937Tair-0.272RH+1.634VPD+0.037Ca | 0.965 1** | |
| Ⅲ | Pn=-7.435+43.106Gs-0.082Ci+0.676Tair-0.002PAR+0.567RH-0.613VPD | 0.981 4** | |
蒸腾速率 Tr | Ⅰ | Tr=9.786+21.322Gs+0.006Ci-0.401Tair+0.002PAR-0.157RH+2.523VPD | 0.962 9** |
| Ⅱ | Tr=-16.512+21.963Gs-0.059Tair+2.868VPD+0.033Ca | 0.956 8** | |
| Ⅲ | Tr=-9.947+27.977Gs+0.182Tair+0.075RH+1.055VPD | 0.975 5** |
| 1 | 郝兴明,李卫红,陈亚宁.新疆塔里木河下游荒漠河岸(林)植被合理生态水位[J].植物生态学报,2008,32(4):838-847. |
| Hao X M,Li W H,Chen Y N.Water table and the desert riparian forest community in the lower reaches of Tarim River,China[J].Journal of Plant Ecology,2008,32(4):838-847. | |
| 2 | Yordanov I,Velikova V,Tsonev T.Plant responses to drought,acclimation,and stress tolerance[J].Photosynthetica,2000,38(2):171-186. |
| 3 | Pinheiro C,Chaves M M.Photosynthesis and drought:can we make metabolic connections from available data?[J].Journal of Experimental Botany,2011,62(3):869-882. |
| 4 | Shao H B,Liang Z S,Shao M A.Osmotic regulation of 10 wheat(Triticum aestivum L.) genotypes at soil water deficits[J].Colloids and Surfaces B:Biointerfaces,2006,47(2):132-139. |
| 5 | Babita M,Maheswari M,Rao L M,et al.Osmotic adjustment,drought tolerance and yield in castor(Ricinus communis L.) hybrids[J].Environmental and Experimental Botany,2010,69(3):243-249. |
| 6 | Aroca R,Irigoyen J J,Sánchez-Díaz M.Drought enhances maize chilling tolerance:Ⅱ.Photosynthetic traits and protective mechanisms against oxidative stress[J].Physiologia Plantarum,2003,117(4):540-549. |
| 7 | 付爱红,陈亚宁,李卫红.中国黑河下游荒漠河岸林植物群落水分利用策略研究[J].中国科学:地球科学,2014,44(4):693-705. |
| Fu A H,Chen Y N,Li W H.Water use strategies of the desert riparian forest plant community in the lower reaches of Heihe River Basin,China[J].Science China Earth Sciences,2014,57(6):1293-1305. | |
| 8 | 党亚玲,韩炜,马霄华,等.博斯腾湖北岸不同地下水埋深对塔干柽柳光合特性的影响[J].生态科学,2017,36(6):188-194. |
| Dang Y L,Han W,Ma X H,et al.Effects on photosynthetic characteristics of Tamarixchinensis to different groundwater depth on the north shore of Boston Lake[J].Ecological Science,2017,36(6):188-194. | |
| 9 | Romano G,Zia S,Spreer W,et al.Use of thermography for high throughput phenotyping of tropical maize adaptation in water stress[J].Computers and Electronics in Agriculture,2011,79(1):67-74. |
| 10 | 陈敏,陈亚宁,李卫红,等.塔里木河中游地区3种植物的抗旱机理研究[J].西北植物学报,2007,27(4):747-754. |
| Chen M,Chen Y N,Li W H,et al.Drought resistance mechanism of three plant species in the middle reaches of Tarim River,China[J].Acta Botanica Boreali-Occidentalia Sinica,2007,27(4):747-754. | |
| 11 | Mathobo R,Marais D,Steyn J M.The effect of drought stress on yield,leaf gaseous exchange and chlorophyll fluorescence of dry beans(Phaseolus vulgaris L.)[J].Agricultural Water Management,2017,180:118-125. |
| 12 | Liao J X,Wang G X.Effects of drought stress on leaf gas exchange and chlorophyll fluorescence of Glycyrrhiza uralensis[J].Russian Journal of Ecology,2014,45(6):532-538. |
| 13 | 郭艳阳,刘佳,朱亚利,等.玉米叶片光合和抗氧化酶活性对干旱胁迫的响应[J].植物生理学报,2018,54(12):1839-1846. |
| Guo Y Y,Liu J,Zhu Y L,et al.Responses of photosynthetic and antioxidant enzyme activities in maize leaves to drought stress[J].Plant Physiology Journal,2018,54(12):1839-1846. | |
| 14 | 王海珍,韩路,徐雅丽,等.土壤水分梯度对灰胡杨光合作用与抗逆性的影响[J].生态学报,2017,37(2):432-442. |
| Wang H Z,Han L,Xu Y L,et al.Effects of soil water gradient on photosynthetic characteristics and stress resistance of Populus pruinosa in the Tarim Basin,China[J].Acta Ecologica Sinica,2017,37(2):432-442. | |
| 15 | 陈亚鹏,陈亚宁,徐长春,等.塔里木河下游地下水埋深对胡杨气体交换和叶绿素荧光的影响[J].生态学报,2011,31(2):344-353. |
| Chen Y P,Chen Y N,Xu C C,et al.Effects of groundwater depth on the gas exchange and chlorophyll fluorescence of Populus euphratica in the lower reaches of Tarim River[J].Acta Ecologica Sinica,2011,31(2):344-353. | |
| 16 | 陈晓林,陈亚鹏,李卫红,等.干旱区不同地下水埋深下胡杨细根空间分布特征[J].植物科学学报,2018,36(1):45-53. |
| Chen X L,Chen Y P,Li W H,et al.Spatial distribution characteristics of fine roots of Populus euphratica Oliv.Under different groundwater depths in arid regions[J].Plant Science Journal,2018,36(1):45-53. | |
| 17 | 陈亚宁,陈亚鹏,李卫红,等.塔里木河下游胡杨脯氨酸累积对地下水位变化的响应[J].科学通报,2003,48(9):958-961. |
| Chen Y N,Chen Y P,Li W H,et al.Response of the accumulation of proline in the bodies of Populus euphratica to the change of groundwater level at the lower reaches of Tarim River[J].Chinese Science Bulletin,2003,48(18):1995-1999. | |
| 18 | 吴桂林,蒋少伟,周天河,等.不同地下水埋深胡杨与柽柳幼苗的水分利用策略比较[J].干旱区研究,2016,33(6):1209-1216. |
| Wu G L,Jiang S W,Zhou T H,et al.Water use strategies of seedlings of Populus euphratica and Tamarix ramosissima under different groundwater depths[J].Arid Zone Research,2016,33(6):1209-1216. | |
| 19 | 王日照,陈亚鹏,陈亚宁,等.地下水埋深对胡杨(Populus euphratica)叶片形态结构和水力导度的影响[J].中国沙漠,2016,36(5):1302-1309. |
| Wang R Z,Chen Y P,Chen Y N,et al.Effects of groundwater level on morphological,anatomical structure and leaf hydraulic conductance of Populus euphratica[J].Journal of Desert Research,2016,36(5):1302-1309. | |
| 20 | 张青青,徐海量,叶茂,等.不同地下水埋深下胡杨叶片生理指标变化特点[J].植物研究,2009,29(4):453-459. |
| Zhang Q Q,Xu H L,Ye M,et al.Variation of physiological indexes of the Populus euphraticn leaves under different groundwater depth[J].Bulletin of Botanical Research,2009,29(4):453-459. | |
| 21 | Farquhar G D,Sharkey T D.Stomatal conductance and photosynthesis[J].Annual Review of Plant Physiology,1982,33(1):317-345. |
| 22 | 高俊凤.植物生理学实验指导[M].北京:高等教育出版社,2006. |
| Gao J F.Experimental guidance for plant physiology[M].Beijing:Higher Education Press,2006. | |
| 23 | Schierenbeck K A,Marshall J D.Seasonal and diurnal patterns of photosynthetic gas exchange for Lonicera sempervirens and L. japonica(Caprifoliaceae)[J].American Journal of Botany,1993,80(11):1292-1299. |
| 24 | 常宗强,冯起,苏永红,等.额济纳绿洲胡杨的光合特征及其对光强和CO2浓度的响应[J].干旱区地理,2006,29(4):496-502. |
| Chang Z Q,Feng Q,Su Y H,et al.Photosynthetic characters of Populus euphratica leaves and response rate to light intensity and CO2 concentration in Ejina oasis of Northwest China[J].Arid Land Geography,2006,29(4):496-502. | |
| 25 | 吴大千,徐飞,郭卫华,等.中国北方城市常见绿化植物夏季气孔导度影响因素及模型比较[J].生态学报,2007,27(10):4141-4148. |
| Wu D Q,Xu F,Guo W H,et al.Impact factors and model comparison of summer stomatal conductance of six common greening species in cities of Northern China[J].Acta Ecologica Sinica,2007,27(10):4141-4148. | |
| 26 | 许大全.光合作用效率[M].上海:上海科学技术出版社,2002. |
| Xu D Q.Photosynthetic efficiency[M].Shanghai:Shanghai Scientific & Technical Publishers,2002. | |
| 27 | Rouhi V,Samson R,Lemeur R,et al.Photosynthetic gas exchange characteristics in three different almond species during drought stress and subsequent recovery[J].Environmental and Experimental Botany,2007,59(2):117-129. |
| 28 | Dinakar C,Djilianov D,Bartels D.Photosynthesis in desiccation tolerant plants:energy metabolism and antioxidative stress defense[J].Plant Science,2012,182:29-41. |
| 29 | Bai L P,Sui F G,Ge T D,et al.Effect of soil drought stress on leaf water status,membrane permeability and enzymatic antioxidant system of maize[J].Pedosphere,2006,16(3):326-332. |
| 30 | De Campos M K F,De Carvalho K,De Souza F S,et al.Drought tolerance and antioxidant enzymatic activity in transgenic ‘Swingle’ citrumelo plants over-accumulating proline[J].Environmental and Experimental Botany,2011,72(2):242-250. |
| [1] | Hong-Yi ZHAO, Jue-Lan GUAN, Xue-Yuan ZHANG, Qing LIANG, Jian ZHANG, Hong-Ling HU. Photosynthetic Characteristics of Sassafras tzumu under Cadmium Stress in Soil [J]. Bulletin of Botanical Research, 2021, 41(4): 506-513. |
| [2] | HE An-Na;;LIN Wen-Qiang;YAO Yi;TAN Xiao-Li. Gas Exchange and Leaf Structure of Saxifraga stolonifera Curt. under Different Temperatures [J]. Bulletin of Botanical Research, 2012, 32(4): 410-414. |
| [3] | SUN Jing;WANG Qing-Cheng;*;XU Jing;LIU Qiang. Plasma-membrane Peroxidation and Osmotic Substances Changes of Sambucus coreana Seedlings Under NaHCO3 Stress [J]. Bulletin of Botanical Research, 2009, 29(4): 424-427. |
| [4] | ZHANG Qing-Qing;XU Hai-Liang;YE Mao;LI Ji-Mei;YANG Hong-Mei;NIU Jun-Yong. Variation of Physiological Indexes of the Populus euphraticn’ Leaves under Different Groundwater Depth [J]. Bulletin of Botanical Research, 2009, 29(4): 453-459. |
| [5] | WU Jia-Sen;SONG Fu-Qiang*;CHEN Rong;LU Wei-Ming. Comparison of Leaf Gas Exchange and Chlorophyll Fluorescence Parameters in Three Species of Aesculus Linn. [J]. Bulletin of Botanical Research, 2008, 28(4): 438-441. |
| [6] | Yan Xiu-feng, Wang Yu-jie, Wang Yang, Sun Hai-qin, Zu Yuan-gang. GAS EXCHANGE OF RHODIOLA SACHALINENSIS ON CHANGBAI MOUNTAIN [J]. Bulletin of Botanical Research, 1999, 19(3): 273-280. |
| Viewed | ||||||
|
Full text |
|
|||||
|
Abstract |
|
|||||