Bulletin of Botanical Research ›› 2025, Vol. 45 ›› Issue (2): 315-328.doi: 10.7525/j.issn.1673-5102.2025.02.016
• Original Paper • Previous Articles
Xiangchen MA, Ping ZHANG, Yuxin CHEN, Lei JIN(
)
Received:2024-07-29
Online:2025-03-20
Published:2025-04-04
Contact:
Lei JIN
E-mail:jinlei2013@nxu.edu.cn
CLC Number:
Xiangchen MA, Ping ZHANG, Yuxin CHEN, Lei JIN. Antioxidant Activity of Polyphenol Extracts from Ten Lily Bulbs and Its Correlation with Environmental Factors[J]. Bulletin of Botanical Research, 2025, 45(2): 315-328.
Add to citation manager EndNote|Ris|BibTeX
URL: https://bbr.nefu.edu.cn/EN/10.7525/j.issn.1673-5102.2025.02.016
Table 1
Collection areas of different lily species
编号 No. | 种名 Species | 采集地点 Collection area | 东经 East longitude/(°) | 北纬 North latitude/(°) | 海拔 Altitude/m |
|---|---|---|---|---|---|
| L1 | 山丹百合 | 陕西延安市富县直罗镇 | 108.970 0 | 35.997 5 | 1 140 |
| L2 | 甘肃天水市甘谷县大庄乡 | 105.299 3 | 34.740 7 | 1 252 | |
| L3 | 宁夏固原市泾源县新民乡 | 106.409 8 | 35.332 7 | 2 053 | |
| L4 | 宁夏固原市西吉县火石寨乡 | 105.754 7 | 36.107 3 | 2 185 | |
| L5 | 宁夏固原市隆德县山河乡车轮沟 | 106.226 9 | 35.441 8 | 2 351 | |
| L6 | 宁夏吴忠市红寺堡区罗山自然保护区 | 106.283 3 | 37.274 8 | 2 313 | |
| L7 | 宁夏银川市镇北堡滚钟口 | 105.932 2 | 38.606 9 | 1 510 | |
| L8 | 内蒙古阿拉善盟巴彦浩特镇南寺 | 105.804 5 | 38.660 3 | 1 974 | |
| L9 | 内蒙古呼和浩特市大青山 | 111.985 2 | 40.984 7 | 1 414 | |
| L10 | 山西吕梁市交城县庞泉沟自然保护区 | 111.453 1 | 37.800 2 | 1 794 | |
| L11 | 山西太原市娄烦县马家庄 | 111.630 8 | 37.994 5 | 1 537 | |
| L12 | 河北保定市顺平县大悲乡 | 144.908 9 | 38.982 3 | 263 | |
| L13 | 河北张家口市围场县老窝铺镇石人梁村 | 117.096 4 | 42.090 4 | 1 395 | |
| L14 | 河南三门峡市卢氏县文峪乡 | 111.104 5 | 34.021 2 | 815 | |
| L15 | 辽宁铁岭市开原市下肥镇 | 124.411 5 | 42.269 0 | 290 | |
| L16 | 黑龙江大庆市杜尔伯特蒙古族自治县合发村 | 124.182 6 | 46.407 9 | 153 | |
| L17 | 卷丹百合 | 陕西安康市岗皋县城关镇 | 108.906 5 | 32.303 1 | 570 |
| L18 | 陕西咸阳市杨陵区 | 108.076 4 | 34.267 0 | 460 | |
| L19 | 甘肃天水市甘谷县大庄乡 | 105.378 5 | 34.985 7 | 1 837 | |
| L20 | 河南三门峡市卢氏县文峪乡 | 111.098 7 | 34.018 3 | 803 | |
| L21 | 川百合 | 四川雅安市宝兴县硗碛乡 | 102.587 6 | 30.590 6 | 1 965 |
| L22 | 四川雅安市泸定县兴隆乡 | 102.304 9 | 29.733 5 | 1 830 | |
| L23 | 泸定百合 | 四川雅安市宝兴县城关镇 | 102.834 8 | 30.377 6 | 936 |
| L24 | 四川雅安市宝兴县盐井乡新华村 | 102.862 2 | 30.472 4 | 1 244 | |
| L25 | 野百合 | 陕西安康市镇坪县曙坪镇双坪乡 | 109.457 1 | 31.844 8 | 1 187 |
| L26 | 宝兴百合 | 四川雅安市泸定县兴隆乡 | 102.304 9 | 29.733 4 | 1828 |
| L27 | 宜昌百合 | 陕西安康市镇坪县洪阳乡云雾村 | 109.571 7 | 32.179 6 | 727 |
| L28 | 淡黄花百合 | 四川雅安市泸定县兴隆乡 | 102.304 7 | 29.733 4 | 1 812 |
| L29 | 尖被百合 | 四川雅安市宝兴县夹金山风景名胜区 | 102.707 9 | 30.856 0 | 3 548 |
| L30 | 兰州百合 | 宁夏固原市隆德县温堡乡 | 105.993 5 | 35.472 9 | 1 903 |
Table 2
Soil nutrient mass fraction in collection areas
编号 No. | 速效氮 Available nitrogen | 速效磷 Available phosphorus | 速效钾 Available potassium | 编号 No. | 速效氮 Available nitrogen | 速效磷 Available phosphorus | 速效钾 Available potassium |
|---|---|---|---|---|---|---|---|
| L1 | 77.18±0.47o | 1.39±0.37j | 250.83±1.44s | L16 | 75.31±3.01o | 3.05±1.07ij | 347.83±7.01o |
| L2 | 110.89±3.74m | 12.10±0.92e | 1 090.30±10.45b | L17 | 52.36±4.68p | 24.66±2.05c | 541.80±3.12k |
| L3 | 235.44±2.81g | 3.62±0.70ij | 933.10±5.37d | L18 | 44.39±7.93p | 69.30±3.81a | 498.30±10.42l |
| L4 | 169.44±9.48j | 6.43±1.98fghi | 802.67±4.62g | L19 | 87.97±6.79n | 4.90±0.95ghij | 1 009.97±26.48c |
| L5 | 190.04±5.54i | 4.18±0.34hij | 1 113.73±21.30b | L20 | 160.53±3.06k | 54.60±2.70b | 1 337.80±16.81a |
| L6 | 234.50±1.53g | 2.92±0.68ij | 277.62±23.98q | L21 | 331.91±6.10d | 8.14±0.43fg | 334.47±12.64op |
| L7 | 164.03±3.25jk | 9.61±4.45ef | 642.10±15.82i | L22 | 188.16±1.72i | 6.51±0.29fghi | 501.67±2.89l |
| L8 | 166.60±5.22jk | 3.82±0.91hij | 899.60±10.02e | L23 | 258.38±1.59f | 4.42±0.21ghij | 274.23±5.17qr |
| L9 | 192.37±1.74i | 3.85±0.34hij | 247.50±6.61s | L24 | 417.58±2.45b | 7.54±5.56fgh | 461.50±16.18m |
| L10 | 414.32±7.23b | 3.37±0.18ij | 495.00±13.23l | L25 | 284.61±1.48e | 6.36±1.63fghi | 374.57±5.06n |
| L11 | 128.22±2.14l | 2.10±0.26j | 468.23±7.51m | L26 | 168.95±2.11jk | 6.30±1.00fghi | 461.53±2.66m |
| L12 | 89.36±1.98n | 2.22±0.10j | 267.57±6.69qrs | L27 | 495.54±3.69a | 6.62±0.36fghi | 729.07±10.13h |
| L13 | 165.20±2.86jk | 4.89±0.39ghij | 317.73±6.89p | L28 | 266.81±1.61f | 20.48±1.84d | 749.17±8.78h |
| L14 | 191.45±7.95i | 12.00±1.62e | 849.50±926f | L29 | 367.49±5.49c | 4.18±0.34hij | 565.20±5.01k |
| L15 | 224.67±3.56h | 3.95±0.52hij | 591.97±3.41j | L30 | 51.43±0.70p | 19.86±1.01d | 481.60±2.77lm |
Table 3
Nutrient mass fraction in lily bulbs
编号 No. | 全氮 Total nitrogen | 全磷 Total phosphorus | 全钾 Total potassium | 编号 No. | 全氮 Total nitrogen | 全磷 Total phosphorus | 全钾 Total potassium |
|---|---|---|---|---|---|---|---|
| L1 | 7.45±0.17g | 3.66±0.12b | 8.00±0.03i | L16 | 5.09±0.16ij | 1.62±0.12fgh | 8.02±0.03i |
| L2 | 3.08±0.21klm | 1.78±0.06fg | 9.52±0.03g | L17 | 12.90±0.76d | 3.03±0.02cd | 7.22±0.03j |
| L3 | 1.99±0.37n | 0.37±0.06mn | 4.00±0.02p | L18 | 17.14±1.28a | 2.71±0.02d | 26.07±0.08a |
| L4 | 0.39±0.25o | 3.35±0.04bc | 4.76±0.02o | L19 | 5.33±0.10ij | 2.63±0.03de | 8.99±0.48gh |
| L5 | 15.13±0.95b | 0.39±0.11mn | 7.16±0.03j | L20 | 12.78±0.45d | 4.68±0.06a | 10.57±0.04f |
| L6 | 10.43±0.07e | 1.57±1.32fghi | 15.75±0.44d | L21 | 0.62±0.14o | 0.61±0.04klmn | 5.04±0.47no |
| L7 | 6.04±0.36hi | 0.50±0.02lmn | 5.13±0.48no | L22 | 2.26±0.31lmn | 1.24±0.02ghij | 8.55±0.45hi |
| L8 | 7.00±1.06gh | 1.03±0.09ijkl | 5.57±0.02mn | L23 | 9.30±0.24f | 0.64±0.09klmn | 13.71±0.05e |
| L9 | 0.40±0.25o | 1.11±0.23hijk | 4.81±0.02o | L24 | 14.04±0.69c | 2.91±0.13cd | 18.35±0.88c |
| L10 | 9.02±0.17f | 2.84±0.02cd | 6.36±0.03kl | L25 | 3.25±0.09kl | 1.31±0.10ghij | 5.66±0.02mn |
| L11 | 15.53±0.20b | 0.17±0.06n | 1.59±0.01q | L26 | 3.17±0.15klm | 1.66±0.02fgh | 5.84±0.47lm |
| L12 | 4.86±0.30j | 2.07±0.40ef | 6.31±0.03kl | L27 | 0.87±0.57o | 1.80±0.40fg | 9.02±0.48gh |
| L13 | 14.00±0.09c | 1.52±0.05fghi | 24.38±0.43b | L28 | 8.51±0.87f | 1.77±0.04fg | 8.02±0.03i |
| L14 | 3.37±0.11k | 0.85±0.06jklm | 4.81±0.02o | L29 | 2.19±0.56mn | 0.52±0.04lmn | 6.59±0.47jk |
| L15 | 8.48±0.20f | 1.46±0.03ghi | 9.47±0.03g | L30 | 10.66±0.11e | 2.48±0.07de | 6.10±0.45klm |
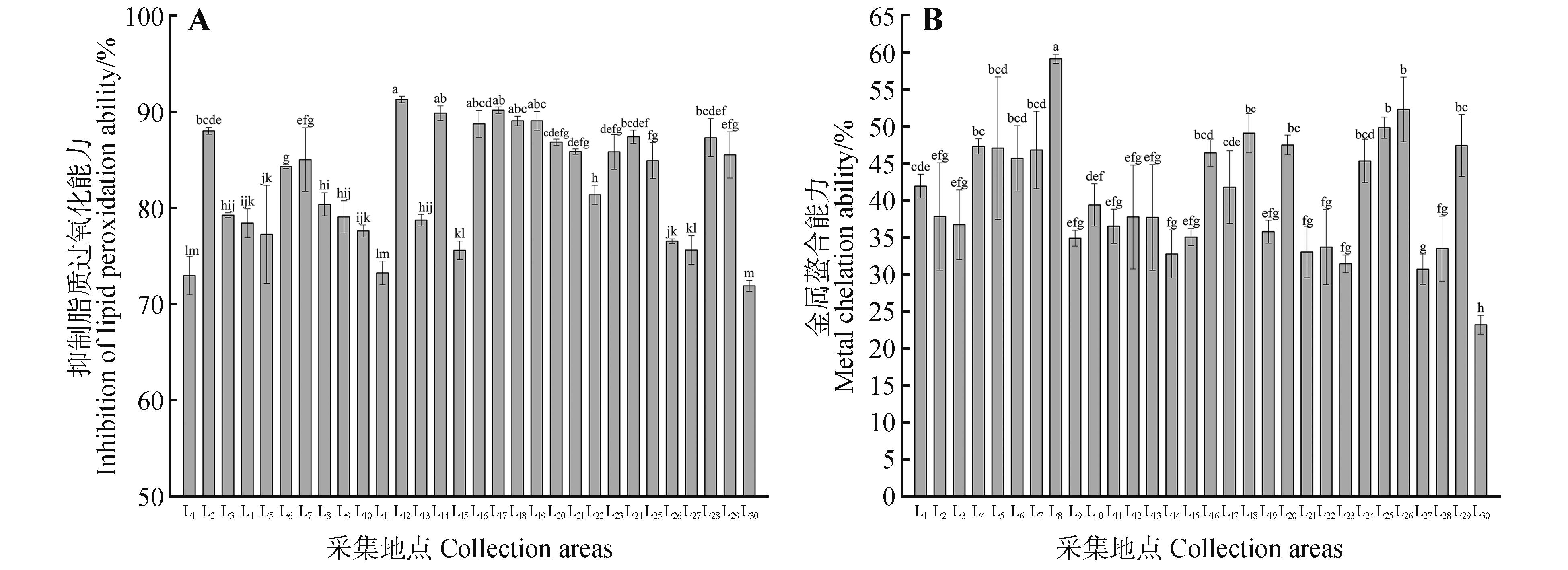
Fig.6
Heat map of correlation of polyphenol content and antioxidant activity in lily bulbsMCC. Metal chelating ability; TFAC. Total flavanol content; TAC. Total anthocyanin content; TFOC. Flavonoid content; TPC. Polyphenol content; DPPH. DPPH free radical scavenging ability; CUPRAC. Copper ion reduction ability; LPI. Inhibition of lipid peroxidation. *.P<0.05; **.P<0.01.
Fig.7
Network diagram of correlation between polyphenol content and antioxidant activity in lily bulbs and environmental factorsDPPH. DPPH free radical scavenging ability;CUPRAC. Copper ion reduction ability;LPI. Inhibition of lipid peroxidation;TPC. Polyphenol content;TFOC. Flavonoid content;TAC. Total anthocyanin content;AN. Available nitrogen;AP. Available phosphorus;LOG.Longitude;LAT. Latitude;ALT. Altitude;WS. Wind speed;WVP. Water vapor pressure;MAP. Average annual precipitation;MAT. Annual average temperature;Max MAT. Annual maximum temperature;Min MAT. Annual minimum temperature;SR. Annual average solar radiation.
Table 4
Comprehensive evaluation of antioxidant property of polyphenol extracts of lily bulbs
编号 No. | 隶属函数值 Membership function value | 综合隶属函数值 Comprehensive membership function value | 排名 Ranking | |||||||
|---|---|---|---|---|---|---|---|---|---|---|
多酚含量 Polyphenols | 黄酮含量 Flavonoids | 总黄烷醇 含量 Total flavanols | 总花色苷 含量 Total anthocyanin | DPPH自由基 清除能力 DPPH free radicals scavenging activity | 铜离子还原能力 Copper ion reduction capacity | 金属螯合能力 Metal chelating ability | 抑制脂质 过氧化能力 Lipid peroxidation inhibition ability | |||
| L1 | 0.12 | 0.46 | 0 | 0.15 | 0.36 | 0.16 | 0.52 | 0.05 | 1.83 | 29 |
| L2 | 0.09 | 0.08 | 0.26 | 0.25 | 0.66 | 0.32 | 0.41 | 0.83 | 2.89 | 14 |
| L3 | 0.24 | 0.46 | 0 | 0.33 | 0.47 | 0.22 | 0.38 | 0.38 | 2.48 | 21 |
| L4 | 0.06 | 0.36 | 0.01 | 0.18 | 0.61 | 0.12 | 0.67 | 0.34 | 2.35 | 22 |
| L5 | 0.07 | 0.37 | 0.01 | 0.15 | 0.63 | 0.08 | 0.66 | 0.28 | 2.24 | 25 |
| L6 | 0.13 | 0.35 | 0.03 | 0.17 | 0.63 | 0.12 | 0.63 | 0.64 | 2.70 | 19 |
| L7 | 0.21 | 0.42 | 0.22 | 0.24 | 0.69 | 0.18 | 0.66 | 0.68 | 3.30 | 9 |
| L8 | 0.30 | 0.35 | 0 | 0.16 | 0.42 | 0.12 | 1.00 | 0.44 | 2.78 | 16 |
| L9 | 0.06 | 0.33 | 0.14 | 0.13 | 0.69 | 0.09 | 0.33 | 0.37 | 2.14 | 26 |
| L10 | 0.32 | 0.42 | 0.05 | 0.27 | 0.73 | 0.29 | 0.45 | 0.29 | 2.85 | 15 |
| L11 | 0.10 | 0.38 | 0.08 | 0.16 | 0.54 | 0.16 | 0.37 | 0.07 | 1.86 | 28 |
| L12 | 0.37 | 0.20 | 0.18 | 0.26 | 0.71 | 0.33 | 0.41 | 1.00 | 3.46 | 8 |
| L13 | 0.15 | 0 | 0 | 0.10 | 0.44 | 0.45 | 0.40 | 0.35 | 1.91 | 27 |
| L14 | 0.19 | 0.25 | 0.11 | 0.26 | 0.64 | 0.30 | 0.27 | 0.93 | 2.94 | 12 |
| L15 | 0.07 | 0.34 | 1.00 | 0.19 | 0 | 0.19 | 0.33 | 0.19 | 2.30 | 23 |
| L16 | 0.20 | 0.16 | 0.10 | 0 | 0.59 | 0.52 | 0.65 | 0.87 | 3.09 | 10 |
| L17 | 0.17 | 0.20 | 0.06 | 0.16 | 0.67 | 2.28 | 0.52 | 0.94 | 5.01 | 3 |
| L18 | 0.57 | 0.74 | 0.22 | 0.36 | 0.62 | 0.53 | 0.72 | 0.88 | 4.65 | 4 |
| L19 | 0.26 | 0.30 | 0.06 | 0.15 | 0.71 | 0.32 | 0.35 | 0.88 | 3.02 | 11 |
| L20 | 0.49 | 0.37 | 0.23 | 0.63 | 0.77 | 0.59 | 0.68 | 0.77 | 4.53 | 6 |
| L21 | 0.30 | 0.53 | 0 | 0.19 | 0.57 | 0.32 | 0.27 | 0.72 | 2.89 | 13 |
| L22 | 0.16 | 0.45 | 0.06 | 0.03 | 0.59 | 0.19 | 0.29 | 0.49 | 2.26 | 24 |
| L23 | 0.23 | 0.42 | 0.07 | 0.13 | 0.50 | 0.26 | 0.23 | 0.72 | 2.57 | 20 |
| L24 | 1.00 | 1.00 | 0.11 | 0.25 | 0.89 | 0.81 | 0.62 | 0.80 | 5.48 | 1 |
| L25 | 0 | 0.04 | 0.10 | 0.41 | 0.54 | 0.23 | 0.74 | 0.67 | 2.74 | 18 |
| L26 | 0.36 | 0.43 | 0.15 | 0.06 | 0.37 | 0.34 | 0.81 | 0.24 | 2.76 | 17 |
| L27 | 0.70 | 0.83 | 0.17 | 1.00 | 1.00 | 1.00 | 0.21 | 0.19 | 5.09 | 2 |
| L28 | 0.57 | 0.54 | 0.05 | 0.18 | 0.75 | 0.55 | 0.29 | 0.80 | 3.72 | 7 |
| L29 | 0.46 | 0.72 | 0.66 | 0.37 | 0.66 | 0.37 | 0.67 | 0.70 | 4.62 | 5 |
| L30 | 0.09 | 0.19 | 0 | 0.27 | 0.26 | 0 | 0 | 0 | 0.82 | 30 |
| 1 | 焦灏琳.几种野生百合酚类物质与抗氧化活性研究[D].杨凌:西北农林科技大学,2014. |
| JIAO H L.Phenolic compounds and antioxidant activity of bulb extracts of seven wild Lilium species in China[D].Yangling:Northwest A&F University,2014. | |
| 2 | 王润丰,牛立新,张延龙,等.野生卷丹百合黄酮类化合物抗氧化能力的研究[J].西北农业学报,2011,20(11):152-155,187. |
| WANG R F, NIU L X, ZHANG Y L,et al.Antioxidant ability of flavonoids from wild Lilium lancifolium [J].Acta Agriculturae Boreali-occidentalis Sinica,2011,20(11):152-155,187. | |
| 3 | SEIQUER I, RUEDA A, OLALLA M,et al.Assessing the bioavailability of polyphenols and antioxidant properties of extra virgin argan oil by simulated digestion and Caco-2 cell assays.Comparative study with extra virgin olive oil[J].Food Chemistry,2015,188:496-503. |
| 4 | MASUOKA N, MATSUDA M, KUBO I.Characterisation of the antioxidant activity of flavonoids[J].Food Chemistry,2012,131(2):541-545. |
| 5 | 茅云枫,李枝林,段青,等.4种百合营养成分的差异性研究[J].云南农业大学学报(自然科学),2017,32(2):366-370 |
| MAO Y F, LI Z L, DUAN Q,et al.Study on the differences of nutrients in four species of Lilium [J].Journal of Yunnan Agricultural University(Natural Science),2017,32(2):366-370. | |
| 6 | HOU R R, CHEN J, YUE C J,et al.Modification of lily polysac-charide by selenylation and the immune-enhancing activity[J]. Carbohydrate Polymers,2016,142(1):73-81. |
| 7 | HUANG J H, ZHOU R R, HE D,et al.Rapid identification of Lilium species and polysaccharide contents based on near infrared spectroscopy and weighted partial least square method[J].International Journal of Biological Macromolecules,2020,154:182-187. |
| 8 | 周丹蓉,方智振,叶新福,等.李果实中多酚含量及其抗氧化能力研究[J].园艺学报,2017,44(3):422–430. |
| ZHOU D R, FANG Z Z, YE X F,et al.Concentration and antioxidant capacity of polyphenol from plum cultivars[J].Acta Horticulturae Sinica,2017,44(3):422-430. | |
| 9 | 靳磊,张瑞军,雅蓉,等.岷江百合与兰州百合鳞茎中多酚组分及其生物活性[J].食品工业科技,2018,39(10):22-27. |
| JIN L, ZHANG R J,YA R,et al.Polyphenolic compositions and their bioactivity in the bulb of Lilium regale and L.davidii var.unicolor [J].Science and Technology of Food Industry,2018,39(10):22-27. | |
| 10 | 尹艳艳,张健,陆伦维,等.刺梨多酚类物质研究进展[J].食品与机械,2024,40(1):234-240. |
| YIN Y Y, ZHANG J, LU L W,et al.Research progress on polyphenols in chestnut rose fruit[J].Food & Machinery,2024,40(1):234-240. | |
| 11 | LI S X, BAO F Y, CUI Y.Immunoregulatory activities of the selenylated polysaccharides of Lilium davidii var.unicolor Salisb in vitro and in vivo [J].International Immunopharmacology,2021,94:107445. |
| 12 | 李小伟,张宏涛,张泽婧.西藏沙棘叶片黄酮含量与生态因子的相关性[J].生态环境学报,2018,27(2):239-245. |
| LI X W, ZHANG H T, ZHANG Z J.The relation between contents of flavonoids in leaves of Hippophae tibetana Schlecht. and ecological factors[J].Ecology and Environmental Sciences,2018,27(2):239-245. | |
| 13 | KAWAGISHI K, MIURA T.Growth characteristics and effect of nitrogen and potassium topdressing on thickening growth of bulbs in spring-planted edible lily[J].Japanese Journal of Crop Science,1996,65(1):51-57. |
| 14 | 卜虎柏,王云霞,张萍,等.磷钾肥配施对卷丹百合鳞茎活性成分积累的影响[J].农业科学研究,2023,44(2):12-18. |
| BU H B, WANG Y X, ZHANG P,et al.Effects of combined application of phosphorus and potassium fertilizers on the accumulation of active components in Lilium lancifolium bulbs[J].Journal of Agricultural Sciences,2023,44(2):12-18. | |
| 15 | 隆世良,蒋宇,郑绍伟,等.岷江上游干旱河谷野生百合资源分布与繁殖力比较[J].四川林业科技,2018,39(2):61-64. |
| LONG S L, JIANG Y, ZHENG S W,et al.Comparison of resource distribution and fertility of wild lilies in dry valleys of the upper reaches of the Minjiang River[J].Journal of Sichuan Forestry Science and Technology,2018,39(2):61-64. | |
| 16 | NATALIA C, DAMIÁN P, SONIA M,et al.Bi-functionalized mesostructured silicas as reversed-phase/strong anion-exchange sorbents.Application to extraction of polyphenols prior to their quantitation by UHPLC with ion-trap mass spectrometry detection[J].Microchimica Acta,2019,186(3):164. |
| 17 | WULANDARI L, KRISTININGRUM N, RATNASARI A F.Rapid determination of total phenol in leaf extracts of a medicinal plant using infrared spectroscopy and chemometric methods[J].Journal of Analytical Chemistry,2020,75(4):479-486. |
| 18 | KURKIN A V, MOROZOVA V T, PRAVDIVTSEVA E O,et al.Quantitative determination of total flavonoids in blood-red hawthorn leaves[J].Pharmaceutical Chemistry Journal,2019,52(10):850-854. |
| 19 | NASER G, BAHMAN H, ABOLFAZL A.Classification of barberry genotypes by multivariate analysis of biochemical constituents and HPLC profiles[J].Phytochemical Analysis,2019,30(4):385-394. |
| 20 | PURBANINGTIAS T E, APRILIA A C, FAUZI’AH L.The study of temperature and UV light effect in anthocyanin extract from dragon fruit (Hylocereus costaricensis) rind using UV-visible spectrophotometer[J].AIP Conference Proceedings,2017,1911(1):020014. |
| 21 | ARA I J, HEMAYET M H, SHAHIN K A,et al.Antioxidant activity of Moringa oleifera seed extracts[J].Oriental Pharmacy and Experimental Medicine,2018,18(4):299-307. |
| 22 | AKYUZ E, SEN F B, BENER M,et al.Protein-protected gold nanocluster-based biosensor for determining the prooxidant activity of natural antioxidant compounds[J].Acs Omega,2019,4(1):2455-2462. |
| 23 | SALAJ N, KLADAR N V, SRENOVI B,et al.Stabilization of sunflower and olive oils with savory (Satureja kitaibelii,Lamiaceae)[J].Journal of Food and Nutrition Research,2020,59(3):259-271. |
| 24 | ZHOU H, ZHU H X, XUE F,et al.Cellulose-based amphoteric adsorbent for the complete removal of low-level heavy metal ions via a specialization and cooperation mechanism[J].Chemical Engineering Journal,2019,385:123879. |
| 25 | 秦琳,黄世群,仲伶俐,等.杜马斯燃烧法和凯氏定氮法在土壤全氮检测中的比较研究[J].中国土壤与肥料,2020(4):258-265. |
| QIN L, HUANG S Q, ZHONG L L,et al.Comparison of Dumas combustion and Kjeldahl methods for determining total nitrogen content in soil[J].Soil and Fertilizer Sciences,2020(4):258-265. | |
| 26 | 王頔.产铀矿石硅酸盐全分析中铁对五氧化二磷的干扰校正方法[J].岩矿测试,2021,40(5):783-792. |
| WANG D.Corrected method for interference of iron on P2O5 during complete silicate analysis in uranium-producing ore[J].Rock and Mineral Analysis,2021,40(5):783-792. | |
| 27 | 马福林,王微芝,张淑琴,等.火焰光度法快速测定钾肥中的钾含量[J].磷肥与复肥,2017,32(2):45-47. |
| MA F L, WANG W Z, ZHANG S Q,et al.Rapid determination of potassium in potash fertilizer by flame photometric method[J].Phosphate & Compound Fertilizer,2017,32(2):45-47. | |
| 28 | 李娜,尹春淼,屠人凤.样品存放条件对土壤中碱解氮含量测定值的影响[J].安徽农学通报,2021,27(9):102-104. |
| LI N, YIN C M, TU R F.Effect of sample preservation on the measured content of soil effective nitrogen[J].Anhui Agricultural Science Bulletin,2021,27(9):102-104. | |
| 29 | 耿婷婷,蔡五田,刘金巍,等.土壤测试仪在污染场地对比研究[J].环境科学与技术,2017,40():261-263. |
| GENG T T, CAI W T, LIU J W,et al.Soil testing instrument in the comparative study of contaminated sites[J].Environmental Science & Technology,2017,40(Sup.2):261-263. | |
| 30 | 贾民隆,张晓纲,梁峥,等.20个不同品系萱草的耐旱性筛选与评价[J].种子,2021,40(6):90-95. |
| JIA M L, ZHANG X G, LIANG Z,et al.Screening and evaluation of drought tolerance of 20 different Hemerocallis lines[J].Seed,2021,40(6):90-95. | |
| 31 | 王煜伟,尹卫,李琳琳,等.紫皮大蒜营养成分与活性成分的分析比较[J].食品研究与开发,2022,43(20):102-109. |
| WANG Y W, YIN W, LI L L,et al.Comparison of nutritional components and active components in purple garlic[J].Food Research and Development,2022,43(20):102-109. | |
| 32 | 刘洋旋,吕庆云,党允卓,等.响应面法优化超声辅助低共熔溶剂提取葛根中黄酮及其抗氧化分析[J].食品科技,2021,46(11):195-202. |
| LIU Y X, LÜ Q Y, DANG Y Z,et al.Optimization of ultrasonic assisted deep eutectic solvent extraction and antioxidant activity of puerarin from Pueraria lobata root by response surface methodology[J].Food Science and Technology,2021,46(11):195-202. | |
| 33 | 黄雨,王璐璐,李佳欣,等.10个叶菜型甘薯品种茎尖总黄酮质量分数及其稳定性的分析与评价[J].西南师范大学学报(自然科学版),2021,46(10):51-57. |
| HUANG Y, WANG L L, LI J X,et al.Analysis and evaluation of total flavonoids and their stability in shoot-tips of ten leaf-vegetable sweet potato varieties[J].Journal of Southwest China Normal University(Natural Science Edition),2021,46(10):51-57. | |
| 34 | 房一明,李瑞,贺书珍,等.可可加工中黄烷醇物质组成变化及抗氧化活性分析[J].热带作物学报,2021,42(9):2696-2703. |
| FANG Y M, LI R, HE S Z,et al.Analysis of flavanol compounds changes and antioxidant activity of cocoa bean during processing[J].Chinese Journal of Tropical Crops,2021,42(9):2696-2703. | |
| 35 | 陈两绵,邹芳艳,刘晓谦,等.3种检测方法比较忍冬药用和非药用部位的抗氧化活性[J].世界中医药,2021,16(17):2513-2519. |
| CHEN L M, ZOU F Y, LIU X Q,et al.Comparison of antioxidant activities between the medicinal parts and non-medicinal parts of Lonicera japonica by three test methods[J].World Chinese Medicine,2021,16(17):2513-2519. | |
| 36 | 张娜娜,刘建林,郭欣欣,等.不同品种马铃薯花色苷提取物的种类鉴定及其抗氧化作用[J].食品科技,2022,47(2):232-238. |
| ZHANG N N, LIU J L, GUO X X,et al.Identification of anthocyanins extract from a variety of potato and their antioxidant activities[J].Food Science and Technology,2022,47(2):232-238. | |
| 37 | 徐倩,孙泽晨,龙月,等.3种百合属植物鳞茎甲醇提取物中酚类物质抗氧化活性及黄酮类及相关化合物的组成和代谢分析[J].植物资源与环境学报,2022, 31(1):42-52. |
| XU Q, SUN Z C, LONG Y,et al.Analyses on antioxidant activity in phenolics and composition and metabolism of flavonoids and related compounds in methanol extracts from bulbs of three Lilium species[J].Journal of Plant Resources and Environment,2022,31(1):42-52. | |
| 38 | 张瑞军,张萍,雅蓉,等.四川野生百合不同部位多酚与抗氧化活性的相关性[J].湖南农业大学学报(自然科学版),2021,47(2):191-196. |
| ZHANG R J, ZHANG P,YA R,et al.Correlation between polyphenols and antioxidant activity in different parts of wild Lilium in Sichuan[J].Journal of Hunan Agricultural University(Natural Sciences),2021,47(2):191-196. | |
| 39 | TANG Y C, LIU Y J, HE G R,et al.Comprehensive analysis of secondary metabolites in the extracts from different lily bulbs and their antioxidant ability[J].Antioxidants,2021,10:1634. |
| 40 | 卢堃,林玉红.兰州百合品质与气候环境因子的相关性分析[J].农业科技与信息,2023(8):69-76. |
| LU K, LIN Y H.Correlation analysis between the quality of Lanzhou lily and climatic environmental factors[J].Agricultural Science-Technology and Information,2023(8):69-76. |
| [1] | Jiaying TANG, Jinkun ZHANG, Jiwen HU, Fude WANG, Peiyao XIN, Wenjun MA. Phenotypic Diversity Analysis of Natural Herbaceous Peony Populations in Great Khingan Mountains [J]. Bulletin of Botanical Research, 2025, 45(2): 299-314. |
| [2] | Yuxin YAN, Meijun HE, Yu LI, Xiaoman YUAN, Xuhui TAN, Ming CHENG, Kai LUO, Lujing LIAO. Whitening and Antioxidant Activities of Leaf Polysaccharide from Dendrobium officinale [J]. Bulletin of Botanical Research, 2025, 45(1): 111-118. |
| [3] | Yuping QIU, Yichuan WANG, Hongwei GUO. Research Progress on the Regulatory Mechanism of Plant Root Hair Development [J]. Bulletin of Botanical Research, 2023, 43(3): 321-332. |
| [4] | Yuan GAO, Wen-Xin XING, Hui-Mei WANG. Macroporous Resin Purifying Polyphenols from Empetrum nigrum Aerial Parts [J]. Bulletin of Botanical Research, 2021, 41(4): 626-632. |
| [5] | LIU Min-Xia, LI Li-Rong, CHE Ying-Di, JIAO Jiao. Functional Traits of Plant Leaves at Different Succession Stages in Alpine Meadow [J]. Bulletin of Botanical Research, 2019, 39(5): 760-769. |
| [6] | ZHANG Li-Fan, XUE Yu, WANG Yan, YANG Guang-Xin, YANG Guang, DI Xue-Ying. External Antioxidant Activity of Ethanol Extract from Pinus sylvestris var. mongolica [J]. Bulletin of Botanical Research, 2019, 39(3): 458-465. |
| [7] | DUAN Yi-Zhong, DU Zhong-Yu, KANG Fu-Ren. Community Characteristics of Endangered Plant of Ammopiptanthus mongolicus to Environmental Factors in Northwest Arid Area of China [J]. Bulletin of Botanical Research, 2018, 38(6): 834-842. |
| [8] | HAN Shu-Ting, TIAN Gui-Quan, HAN Shu-Mei. Species Diversity of Ground Bryophyte Communities in Different Vegetation in Daqinggou National Nature Reserve [J]. Bulletin of Botanical Research, 2017, 37(5): 664-672. |
| [9] | DI Xue-Ying, JIA Shu-Han, XUE Yu, YANG Guang, ZHAO Bo, WENG Yue-Tai. Antioxidant Activities of Polysaccharides from Cronartium orientale Aeciospores in vitro [J]. Bulletin of Botanical Research, 2017, 37(4): 628-634. |
| [10] | WU Jie, ZHAO Yu-Ping, HE Xiang-Feng, WANG Wen-He, LENG Ping-Sheng, ZHANG Ke-Zhong. Cytological Study on Microspore Abortion in OT Hybrid Lily Cultivars ‘Cocossa’ [J]. Bulletin of Botanical Research, 2017, 37(1): 15-22. |
| [11] | ZAN Peng, ZHANG Lin, ZU Yuan-Gang, YANG Lei, CONG Ying. Anti-inflammation and Antibacterial Activity of Polyphenols in Idesia polycarpa Maxim. Fruit [J]. Bulletin of Botanical Research, 2016, 36(6): 955-960. |
| [12] | HUNG Wen-Juan, JIAO Pei-Pei, HUANG Jin-Hua, ZHANG Dan. Leaf Anatomical Structure of Populus euphratica in Tarim River Basin [J]. Bulletin of Botanical Research, 2016, 36(5): 669-675. |
| [13] | YANG Liu-Yan1,2;WANG Yu-Bing3;ZHANG Yong-Chun1,2*;SUN Yi1,2. Sporogenesis and Gametogenesis of Calla Lily(Zantedeschia hybrids) [J]. Bulletin of Botanical Research, 2015, 35(4): 504-508. |
| [14] | ZAN Zhi-Hui;GAO Yan-Mei;SUN Mo-Long. Extraction and Antioxidant Activity of Tannic in Juglans mandshurica Maxim. [J]. Bulletin of Botanical Research, 2015, 35(3): 431-435. |
| [15] | ZHANG Zhong-Hua1,2;TANG Zhong-Hua1;YANG Feng-Jian1*;WANG Hua3;ZHANG Jun1;ZU Yuan-Gang1. Photosynthetic Characteristics and Its Micro-environmental Limiting Factors of Two Main Oil Peony [J]. Bulletin of Botanical Research, 2014, 34(6): 770-775. |
| Viewed | ||||||
|
Full text |
|
|||||
|
Abstract |
|
|||||