Welcome to Bulletin of Botanical Research! Today is Share:

Bulletin of Botanical Research ›› 2024, Vol. 44 ›› Issue (6): 822-831.doi: 10.7525/j.issn.1673-5102.2024.06.003

• Physiology and Ecology • Previous Articles     Next Articles

Isolation, Purification and Identification of Triter-penoids from Rosa roxburghii Leaves

Yanhao LIU, Jiandong WANG, Yujie FU()   

  1. College of Forestry,Beijing Forestry University/National Key Laboratory for Efficient Production of Forest Resources,Beijing 100091
  • Received:2024-06-20 Online:2024-11-20 Published:2024-11-22
  • Contact: Yujie FU E-mail:yujie_fu@163.com

Abstract:

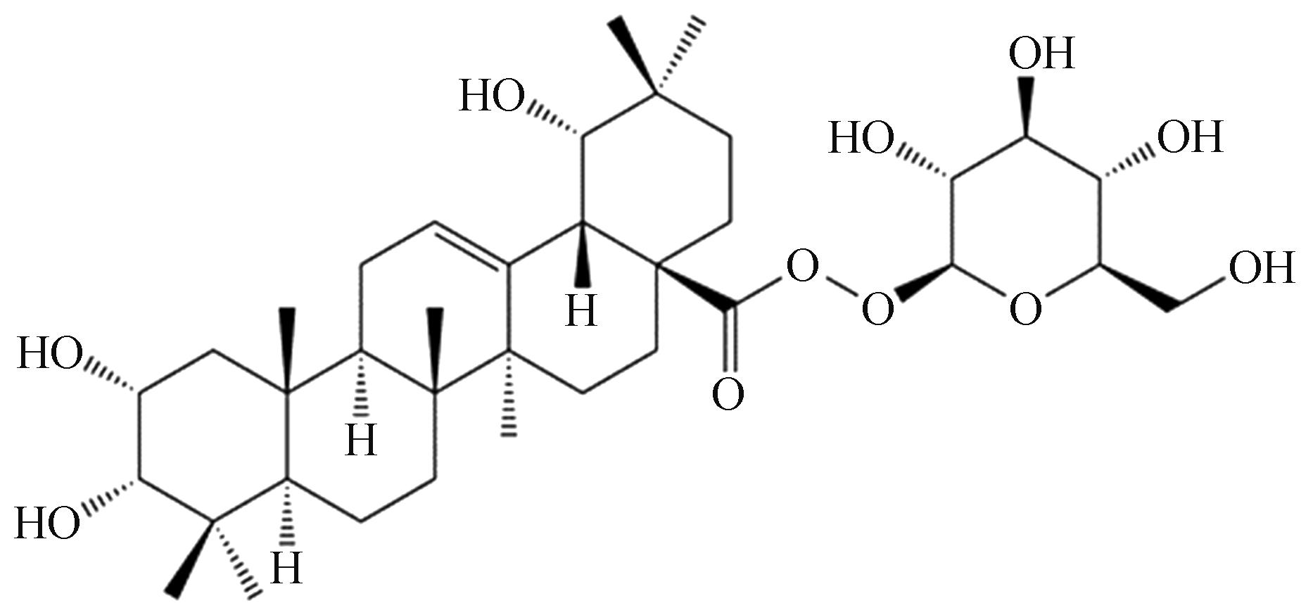
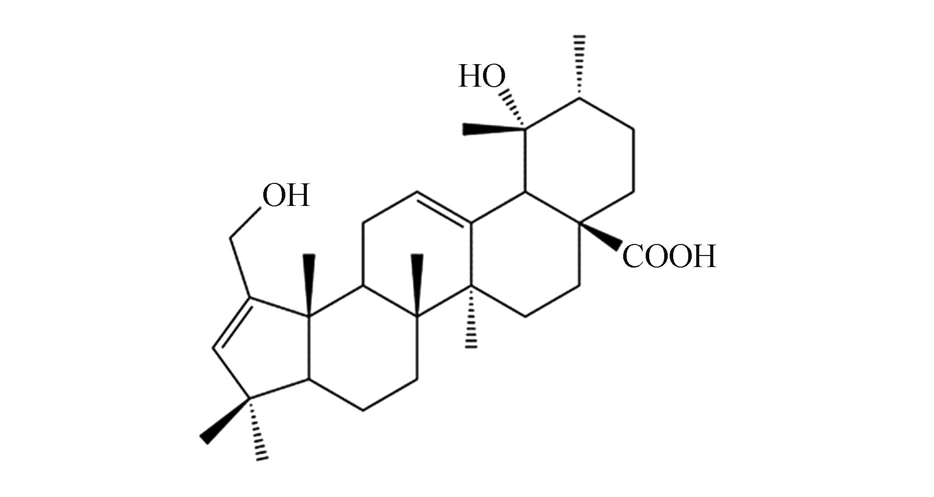
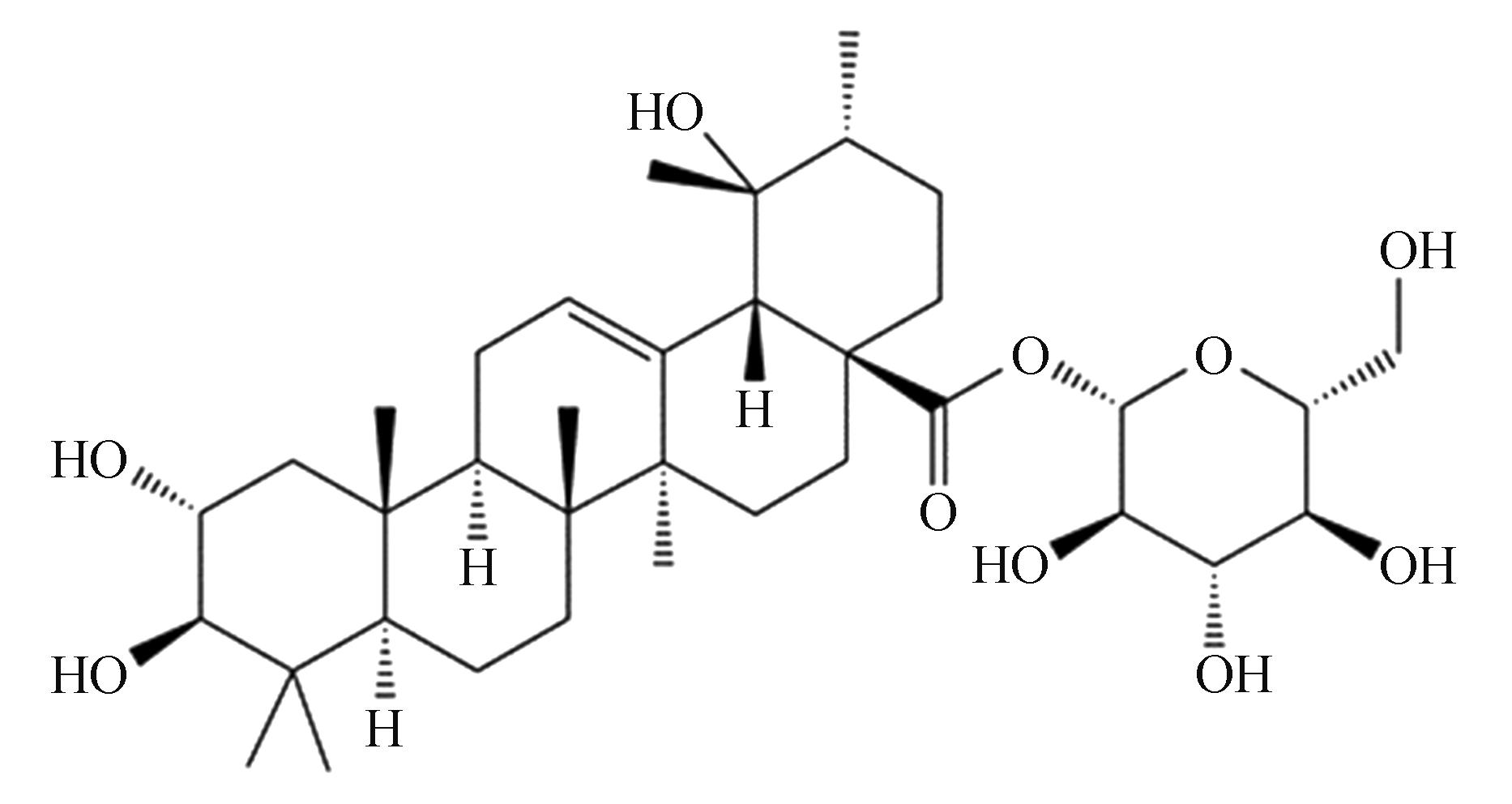
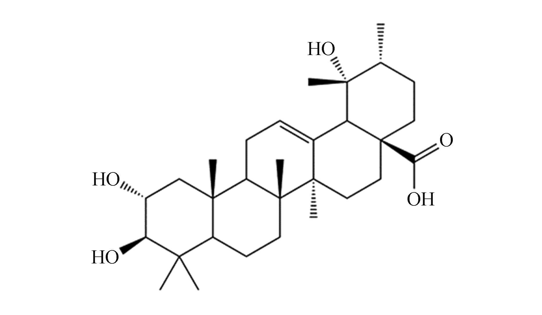
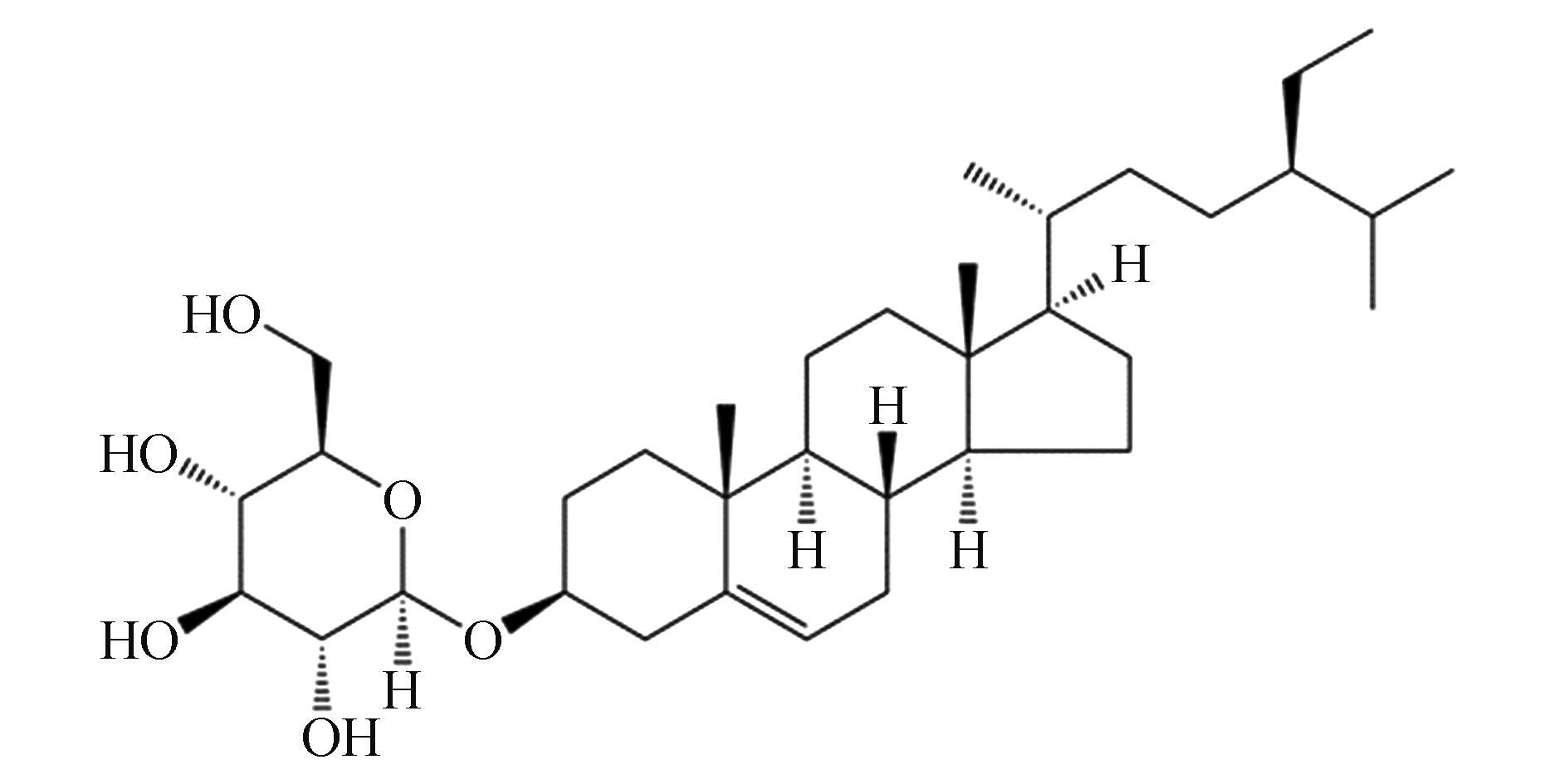
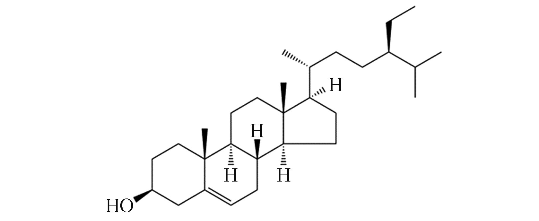
The R. roxburghii leaves were used as materials, and the triterpenoid chemical components were systematically isolated and purified from leaves by using methods of silica gel column chromatography, Sephadex LH-20 column chromatography, and semi HPLC, respectively. The structures of the compounds were identified through physicochemical properties and nuclear magnetic resonance spectroscopy (NMR) spectral data, and a total of 13 compounds were isolated and identified. Among them, there were two tetracyclic triterpenoid compounds, three pentacyclic triterpenoid glycosides, and eight pentacyclic triterpenoid carboxylic acid compounds, including a novel compound monomer. The structures identified were (1)β- sitosterol, (2)daucosterol, (3)2α,3α,19α-trihydroxyolean-12-en-28-O-β-D-glucopyranoside, (4)kaji-ichigoside F1, (5)rosamultin, (6)rosamultic acid, (7)new compound, (8)hyptadienic acid, (9)euscaphic acid, (10)tormentic acid, (11)corosolic acid, (12)betulinic acid, and (13)maslinic acid, respectively, and the compounds No.2, No.6, No.7 and No.8 were isolated and identified from this plant for the first time. This study clarified the triterpenoid components in R. roxburghii leaves, and provided scientific basis for the development and utilization of R. roxburghii leaf resources.

Key words: Rosa roxburghii leaves, triterpenoid, separation, structural identification

CLC Number: 

Baidu
map