Bulletin of Botanical Research ›› 2024, Vol. 44 ›› Issue (2): 267-278.doi: 10.7525/j.issn.1673-5102.2024.02.012
• Physiology and Ecology • Previous Articles Next Articles
Lixue YANG1, Shilin LIU1, Hanxuan FU1, Siyu ZHOU1, Huifeng LIU2, Fangyuan SHEN1(
)
Received:2023-10-07
Online:2024-03-20
Published:2024-03-11
Contact:
Fangyuan SHEN
E-mail:shuke9197@126.com
CLC Number:
Lixue YANG, Shilin LIU, Hanxuan FU, Siyu ZHOU, Huifeng LIU, Fangyuan SHEN. Effects of Vegetation Control on Root Traits of Artificial Regeneration of Tilia amurensis Saplings[J]. Bulletin of Botanical Research, 2024, 44(2): 267-278.
Add to citation manager EndNote|Ris|BibTeX
URL: https://bbr.nefu.edu.cn/EN/10.7525/j.issn.1673-5102.2024.02.012
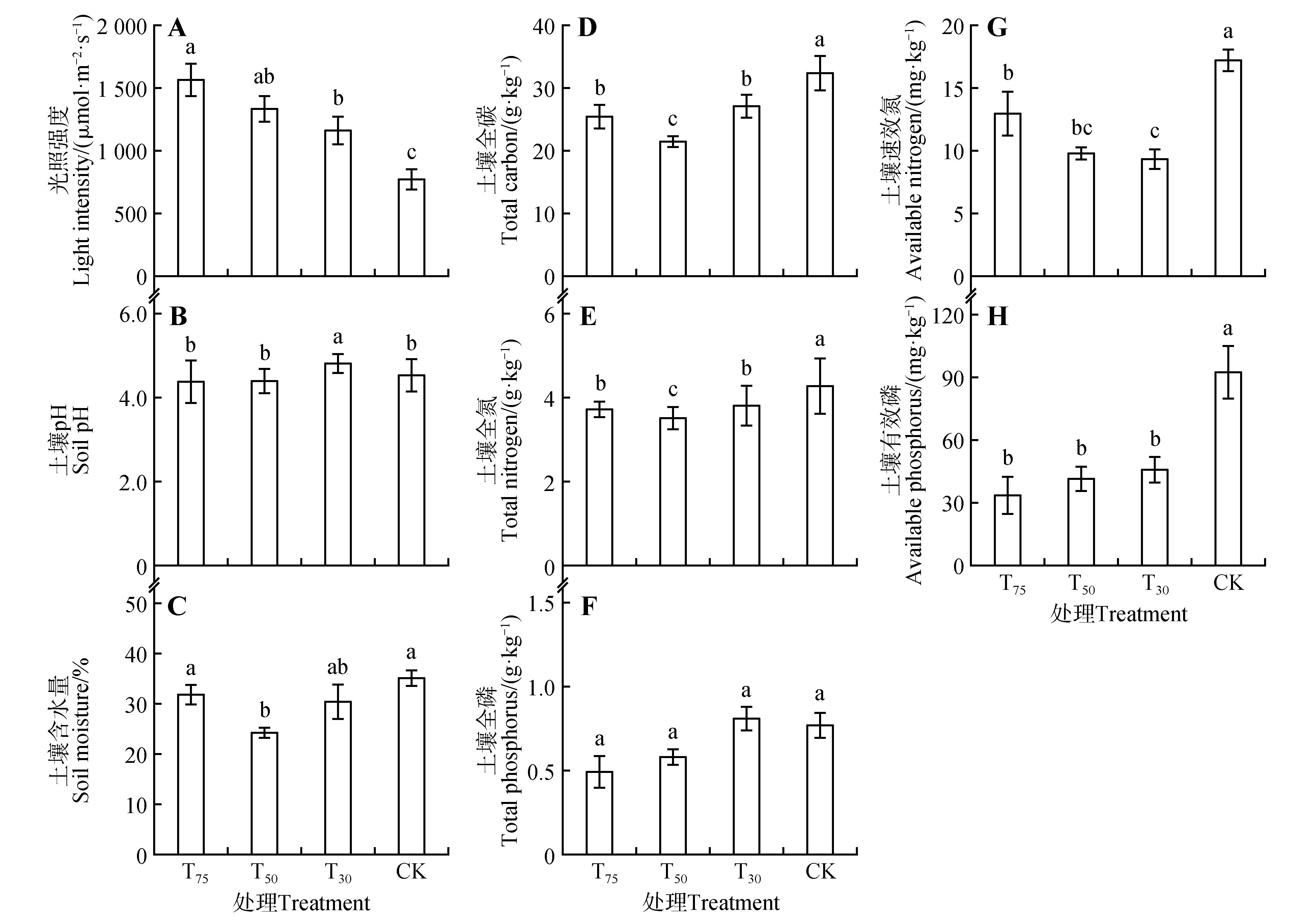
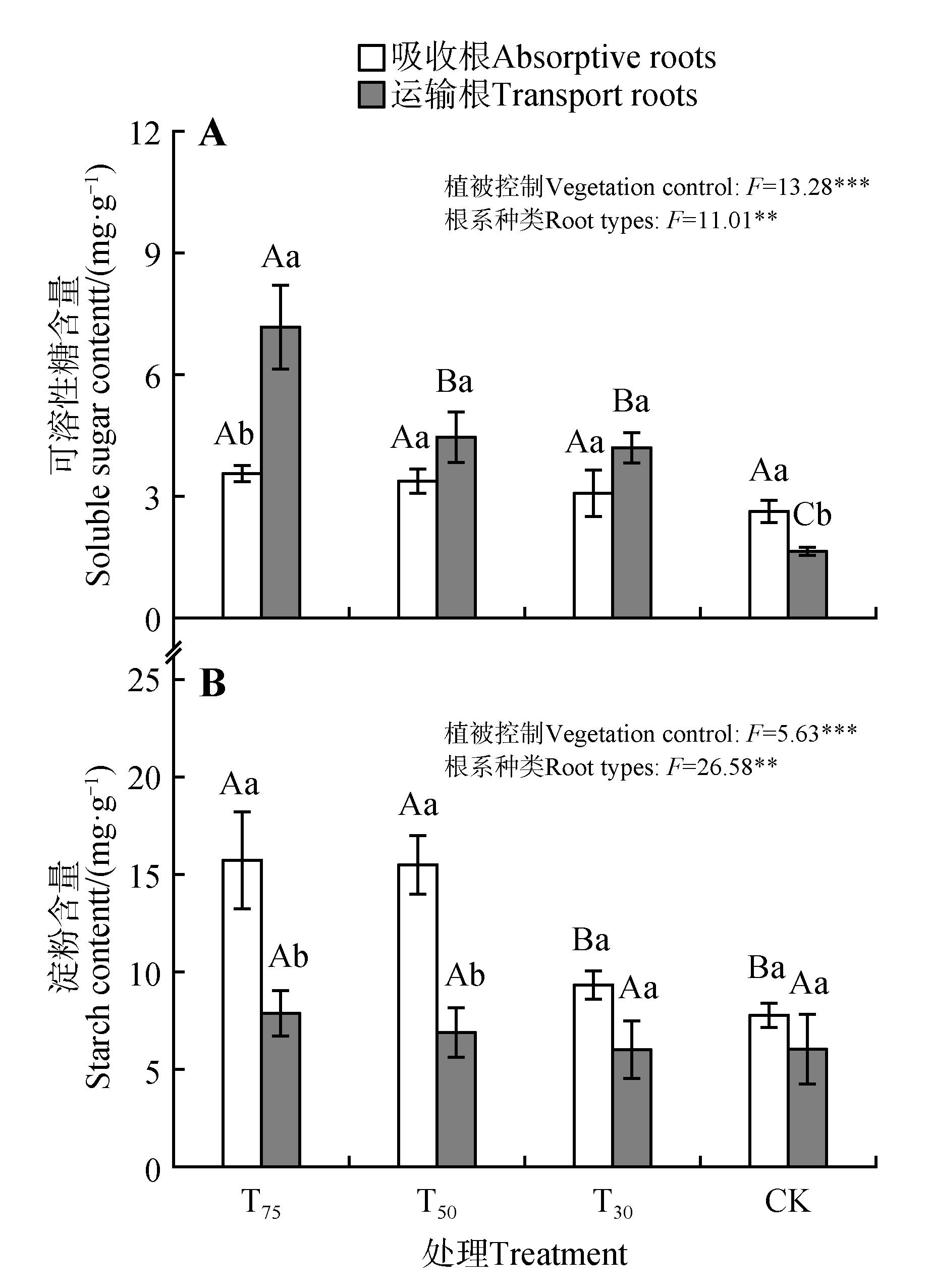
Fig.2
Effects of different treatments on the root morphological characteristics of T. amurensis saplingsDifferent capital letters indicated significant difference among treatments for the same fine root type,while different lowercase letters indicated significant difference between absorptive roots and transport roots under the same treatment. *P<0.05,**P<0.01,***P<0.001.The same as below.
Fig.5
Redundancy analysis(RDA) of root traits and soil factors in absorptive roots(A) and transport roots(B) of T. amurensis saplingsRD.Root diameter;SRA.Specific surface area;SRL.Specific root length;RTD.Root tissue density;RTC.Root total carbon content;RTN.Root total nitrogen content;RTP.Root total phosphorus content;RSSC.Root soluble sugar content;RSC.Root starch content;SM.Soil moisture;pH.Soil pH;TC.Soil total carbon content;TN.Soil total nitrogen content;TP.Soil total phosphorus content;AN.Soil available nitrogen content;AP.Soil available phosphorus content.
Table 1
Correlation analysis of absorptive root characters and soil factors of T. amurensis
因素 Factors | 土壤pH Soil pH | 土壤含水量 Soil moisture | 土壤全碳 Soil total carbon | 土壤全氮 Soil total nitrogen | 土壤全磷 Soil total phosphorus | 土壤速效磷 Soil available phosphorus | 土壤有效氮 Soil available nitrogen |
|---|---|---|---|---|---|---|---|
根直径 Root diameter | -0.025 | -0.051 | -0.242 | -0.322 | -0.084 | -0.507* | -0.125 |
比表面积 Specific surface area | -0.030 | -0.128 | 0.141 | 0.253 | 0.199 | 0.411 | -0.012 |
比根长 Specific root length | -0.139 | -0.066 | 0.128 | 0.205 | -0.046 | 0.347 | 0.099 |
组织密度 Root tissue density | -0.135 | 0.069 | -0.171 | -0.249 | -0.352 | -0.377 | 0.105 |
根全碳 Root total carbon | 0.543* | 0.320 | 0.586** | 0.472* | 0.417 | 0.370 | 0.200 |
根全氮 Root total nitrogen | 0.272 | 0.001 | 0.417 | 0.590** | 0.356 | 0.534* | 0.253 |
根全磷 Root total phosphorus | 0.257 | 0.102 | 0.391 | 0.408 | 0.381 | 0.386 | 0.162 |
可溶性糖 Soluble sugar | -0.324 | 0.012 | -0.402 | -0.532* | -0.104 | -0.071 | -0.256 |
淀粉 Starch | -0.697** | -0.436 | -0.734** | -0.723** | 0.534* | -0.223 | -0.335 |
Table 3
Correlation analysis of transport root characters and soil factors of T. amurensis
因素 Factors | 土壤pH Soil pH | 土壤含水量 Soil moisture | 土壤全碳 Soil total carbon | 土壤全氮 Soil total nitrogen | 土壤全磷 Soil total phosphorus | 土壤速效磷 Soil available phosphorus | 土壤有效氮 Soil available nitrogen |
|---|---|---|---|---|---|---|---|
根直径 Root diameter | -0.604** | -0.299 | -0.618** | -0.669** | -0.494* | -0.347 | -0.146 |
比表面积 Specific surface area | 0.570** | 0.432 | 0.499* | 0.487* | 0.385 | 0.439 | -0.102 |
比根长 Specific root length | 0.522* | 0.406 | 0.517* | 0.539* | 0.405 | 0.453* | -0.015 |
组织密度 Root tissue density | 0.130 | -0.258 | -0.029 | 0.111 | -0.044 | -0.210 | 0.237 |
根全碳 Root total carbon | 0.295 | 0.168 | 0.465* | 0.549* | 0.459* | 0.405 | 0.459* |
根全氮 Root total nitrogen | 0.385 | 0.102 | 0.517* | 0.604** | 0.532* | 0.459* | 0.272 |
根全磷 Root total phosphorus | 0.360 | 0.543* | 0.544* | 0.353 | 0.161 | 0.062 | 0.250 |
可溶性糖 Soluble sugar | -0.211 | -0.155 | -0.453* | -0.558* | -0.258 | -0.531* | -0.337 |
淀粉 Starch | -0.150 | -0.060 | -0.174 | -0.089 | -0.372 | -0.215 | 0.036 |
| 1 | 盛炜彤.关于我国人工林长期生产力的保持[J].林业科学研究,2018,31(1):1-14. |
| SHENG W T.On the maintenance of long-term productivity of plantation in China[J].Forest Research,2018,31(1):1-14. | |
| 2 | 任骏,李建安,胡孔飞,等.油茶新造林杂草发生规律与防除技术[J].经济林研究,2017,35(4):177-184. |
| REN J, LI J A, HU K F,et al.Occurrence law and control technology of weeds in new afforestation of Camellia oleifera [J].Nonwood Forest Research,2017,35(4):177-184. | |
| 3 | DE LOMBAERDE E, BLONDEEL H, BAETEN L,et al.Light,temperature and understorey cover predominantly affect early life stages of tree seedlings in a multifactorial mesocosm experiment[J].Forest Ecology and Management,2020,461:117907. |
| 4 | MCCORMACK M L, DICKIE I A, EISSENSTAT D M,et al.Redefining fine roots improves understanding of below-ground contributions to terrestrial biosphere processes[J].New Phytologist,2015,207(3):505-518. |
| 5 | VALVERDE-BARRANTES O J.Dissecting how fine roots function[J].New Phytologist,2022,233(4):1539-1541. |
| 6 | PREGITZER K S, DEFOREST J L, BURTON A J,et al.Fine root architecture of nine north american trees[J].Ecological Monographs,2002,72(2):293-309. |
| 7 | GUO D L, XIA M X, WEI X,et al.Anatomical traits associated with absorption and mycorrhizal colonization are linked to root branch order in twenty-three Chinese temperate tree species[J].New Phytologist,2008,180(3):673-683. |
| 8 | JACKSON R B, CALDWELL M M.The scale of nutrient heterogeneity around individual plants and its quantification with geostatistics[J].Ecology,1993,74(2):612-614. |
| 9 | 李婧,洪宗文,熊仕臣,等.华西雨屏区不同林龄柳杉人工林的根系形态和碳氮磷化学计量特征[J].四川农业大学学报,2023,41(2):257-265. |
| LI J, HONG Z W, XIONG S C,et al.The root morphology and C∶N∶P stoichiometric characteristics of Cryptomeria japonica var.sinensis plantations at different ages in rainy area of western China[J].Journal of Sichuan Agricultural University,2023,41(2):257-265. | |
| 10 | 李晓清,代仕高,龙汉利,等.桢楠种源幼苗细根形态和生物量研究[J].热带亚热带植物学报,2016,24(2):208-214. |
| LI X Q, DAI S G, LONG H L,et al.Fine root morphology and biomass of Phoebe zhennan provenance seedlings[J].Journal of Tropical and Subtropical Botany,2016,24(2):208-214. | |
| 11 | 陈菊艳,龙海燕,邓伦秀.遮光对野鸦椿幼苗生长和光合生理特性的影响[J].西部林业科学,2021,50(2):19-27. |
| CHEN J Y, LONG H Y, DENG L X.Effects of shading on growth and photosynthetic characteristics of Euscaphis japonica seedlings[J].Journal of West China Forestry Science,2021,50(2):19-27. | |
| 12 | 闫兴富,刘建利,贝盏临,等.不同光强条件下柠条锦鸡儿的种子萌发和幼苗生长特征[J].生态学杂志,2015,34(4):912-918. |
| YAN X F, LIU J L, BEI Z L,et al.Characteristics of seed germination and seedling growth of Caragana korshinskii under different light intensities[J].Chinese Journal of Ecology,2015,34(4):912-918. | |
| 13 | 吴小健,李秉钧,颜耀,等.不同地理种源杉木细根形态及生态化学计量特征[J].森林与环境学报,2023,43(2):113-122. |
| WU X J, LI B J, YAN Y,et al.Fine root morphology and ecological stoichiometric characteristics of Cunninghamia lanceolata from different provenances[J].Journal of Forest and Environment,2023,43(2):113-122. | |
| 14 | 张玲,张东来.遮荫条件下黄檗生长和生理响应的性别差异研究[J].植物研究,2020,40(5):735-742. |
| ZHANG L, ZHANG D L.Gender differences in growth and physiological respond of Phellodendron amurense Rupr.in condition of overshadow[J].Bulletin of Botanical Research,2020,40(5):735-742. | |
| 15 | 徐程扬.不同光环境下紫椴幼树树冠结构的可塑性响应[J].应用生态学报,2001,12(3):339-343. |
| XU C Y.Response of structural plasticity of Tilia amurensis sapling crowns to different light conditions[J].Chinese Journal of Applied Ecology,2001,12(3):339-343. | |
| 16 | 陈婕,毛子军,马立祥,等.蒙古栎和紫椴幼苗对光环境转变的光合作用响应[J].植物研究,2008,28(4):471-476. |
| CHEN J, MAO Z J, MA L X,et al.Response of photosynthetic capacity and chlorophyll fluorescence in Quercus mongolica and Tilia amurensis seedlings after light intensity transfer[J].Bulletin of Botanical Research,2008,28(4):471-476. | |
| 17 | 徐程扬,张晶,刘强,等.紫椴幼树叶片的光合作用特征[J].东北林业大学学报,2001,29(2):38-43. |
| XU C Y, ZHANG J, LIU Q,et al.Leaf photosynthetic characteristics of Tilia amurensis seedling[J].Journal of Northeast Forestry University,2001,29(2):38-43. | |
| 18 | 刘兴,杨晓,赵丹,等.遮光对紫椴幼苗光合特性的影响研究[J].新疆农业大学学报,2019,42(1):35-42. |
| LIU X, YANG X, ZHAO D,et al.Study on the effect of light-shading on photosynthetic characteristics of Tilia amurensis Rupr. seedlings[J].Journal of Xinjiang Agricultural University,2019,42(1):35-42. | |
| 19 | 许旸,谷加存,董雪云,等.海南岛4个热带阔叶树种前5级细根的形态、解剖结构和组织碳氮含量[J].植物生态学报,2011,35(9):955-964. |
| XU Y, GU J C, DONG X Y,et al.Fine root morphology,anatomy and tissue nitrogen and carbon contents of the first five orders in four tropical hardwood species in Hainan Island,China[J].Chinese Journal of Plant Ecology,2011,35(9):955-964. | |
| 20 | 闫媛媛,郭琪,管俊泽,等.红松和水曲柳叶生态化学计量及养分重吸收特征的地理变异[J].应用生态学报,2023,34(4):977-984. |
| YAN Y Y, GUO Q, GUAN J Z,et al.Geographical variation of ecological stoichiometry and nutrient resorption in leaves of Pinus koraiensis and Fraxinus mandshurica [J].Chinese Journal of Applied Ecology,2023,34(4):977-984. | |
| 21 | 祁琳,郭龙梅,刘尤德,等.刺槐幼苗非结构性碳水化合物对NaCl胁迫的动态响应[J].林业科学,2022,58(1):32-42. |
| QI L, GUO L M, LIU Y D,et al.Dynamic responses of non-structural carbohydrates in Robinia pseudoacacia seedlings to NaCl stress[J].Scientia Silvae Sinicae,2022,58(1):32-42. | |
| 22 | MIOTTO Y E, COSTA C TDA, OFFRINGA R,et al.Effects of light intensity on root development in a D-root growth system[J].Frontiers in Plant Science,2021,12:778382. |
| 23 | 徐立清,崔东海,王庆成,等.张广才岭西坡次生林不同生境胡桃楸幼树根系构型及细根特征[J].应用生态学报,2020,31(2):373-380. |
| XU L Q, CUI D H, WANG Q C,et al.Root architecture and fine root characteristics of Juglans mandshurica saplings in different habitats in the secondary forest on the west slope of Zhangguangcailing,China[J].Chinese Journal of Applied Ecology,2020,31(2):373-380. | |
| 24 | WAHL S, RYSER P.Root tissue structure is linked to ecological strategies of grasses[J].New phytologist,2000,148(3):459-471. |
| 25 | VINCENT C D, GREGORY P J.Effects of temperature on the development and growth of winter wheat roots[J].Plant and Soil,1989,119(1):99-110. |
| 26 | PAGE V, BLÖSCH R M, FELLER U.Regulation of shoot growth,root development and manganese allocation in wheat (Triticum aestivum) genotypes by light intensity[J].Plant Growth Regulation,2012,67(3):209-215. |
| 27 | SARAN P L, SINGH S, SOLANKI V H,et al.Impact of shade-net intensities on root yield and quality of Asparagus racemosus:a viable option as an intercrop[J].Industrial Crops and Products,2019,141:111740. |
| 28 | 任浩,高国强,马耀远,等.不同年龄红松根系氮素吸收及其与根形态和化学性状的关系[J].北京林业大学学报,2021,43(10):65-72. |
| REN H, GAO G Q, MA Y Y,et al.Root nitrogen uptake and its relationship with root morphological and chemical traits in Pinus koraiensis at different ages[J].Journal of Beijing Forestry University,2021,43(10):65-72. | |
| 29 | 王凯,齐悦彤,那恩航,等.基于器官-凋落叶-土壤生态化学计量特征的樟子松和赤松人工林养分利用策略[J].生态学杂志,2023,42(2):274-281. |
| WANG K, QI Y T, NA E H,et al.Nutrient use strategies of Pinus sylvestris var.mongolica and Pinus densiflora plantations based on ecological stoichiometry in organ-litter-soil systems[J].Chinese Journal of Ecology,2023,42(2):274-281. | |
| 30 | 智西民,王梦颖,牛畔青,等.遮荫对青桐幼苗生长性状与化学计量特征的影响[J].生态学杂志,2021,40(3):664-671. |
| ZHI X M, WANG M Y, NIU P Q,et al.Effects of shading on the growth indices and stoichiometric characteristics of Firmiana platanifolia seedlings[J].Chinese Journal of Ecology,2021,40(3):664-671. | |
| 31 | 高然,董希斌,曲杭峰,等.抚育强度对天然针阔混交林细根化学计量及根系呼吸的影响[J].东北林业大学学报,2022,50(11):43-46. |
| GAO R, DONG X B, QU H F,et al.Effects of tending intensity on stoichiometry and root respiration of fine roots in natural coniferous and broad-leaved mixed forest[J].Journal of Northeast Forestry University,2022,50(11):43-46. | |
| 32 | 熊静,虞木奎,成向荣,等.光照和氮磷供应比对木荷生长及化学计量特征的影响[J].生态学报,2021,41(6):2140-2150. |
| XIONG J, YU M K, CHENG X R,et al.Effects of light and N-P supply ratios on growth and stoichiometric of Schima superba [J].Acta Ecologica Sinica,2021,41(6):2140-2150. | |
| 33 | 陈超,罗光宇,金则新,等.光照强度对景宁木兰幼苗叶片形态结构、化学计量特征和非结构性碳水化合物的影响[J].生态学杂志,2023,42(6):1307-1315. |
| CHEN C, LUO G Y, JIN Z X,et al.Effects of light intensities on leaf morphological structure,stoichiometry and non-structural carbohydrates of Magnolia sinostellata seedlings[J].Chinese Journal of Ecology,2023,42(6):1307-1315. | |
| 34 | 李金霞,朱亚男,孙小妹,等.氮磷添加对黑果枸杞(Lycium ruthenicum)营养器官非结构性碳水化合物特征的影响[J].中国沙漠,2021,41(2):200-211. |
| LI J X, ZHU Y N, SUN X M,et al.Effects of nitrogen and phosphorus addition on non-structural carbohydrate properties of vegetative organs in Lycium ruthenicum [J].Journal of Desert Research,2021,41(2):200-211. | |
| 35 | 李晓庆,闫冬佳,任金培,等.5个藤本月季品种生长和非结构性碳分配对遮阴的响应[J].山西农业科学,2021,49(9):1055-1060. |
| LI X Q, YAN D J, REN J P,et al.Response of growth and nonstructural carbon distribution to shading in five vine rose varieties[J].Journal of Shanxi Agricultural Sciences,2021,49(9):1055-1060. | |
| 36 | BENGOUGH A G, BRANSBY M F, HANS J,et al.Root responses to soil physical conditions; growth dynamics from field to cell[J].Journal of Experimental Botany,2006,57(2):437-447. |
| 37 | TANAKA K, HASHIMOTO S.Plant canopy effects on soil thermal and hydrological properties and soil respiration[J].Ecological Modelling,2006,196(1/2):32-44. |
| 38 | HUANGFU C H, HUI D F, QI X X,et al.Plant interactions modulate root litter decomposition and negative plant-soil feedback with an invasive plant[J].Plant and Soil,2019,437:179-194. |
| 39 | 谷加存,王东男,夏秀雪,等.功能划分方法在树木细根生物量研究中的应用:进展与评述[J].植物生态学报,2016,40(12):1344-1351. |
| GU J C, WANG D N, XIA X X,et al.Applications of functional classification methods for tree fine root biomass estimation:Advancements and synthesis[J].Chinese Journal of Plant Ecology,2016,40(12):1344-1351. | |
| 40 | 贾林巧,陈光水,张礼宏,等.常绿阔叶林外生和丛枝菌根树种细根形态和构型性状对氮添加的可塑性响应[J].应用生态学报,2021,32(2):529-537. |
| JIA L Q, CHEN G S, ZHANG L H,et al.Plastic responses of fine root morphology and architecture traits to nitrogen addition in ecto-mycorrhizal and arbuscular mycorrhizal tree species in an evergreen broadleaved forest[J].Chinese Journal of Applied Ecology,2021,32(2):529-537. |
| [1] | Juan XIA, Xudong SUN, Na WANG, Rui LI, Juan CHEN, Guoqiang GAO. Fine Root Biomass and Root Length Density of Pinus tabulaeformis and Cupressus chengiana Plantations in the Arid Valleys of the Upper Minjiang River [J]. Bulletin of Botanical Research, 2024, 44(2): 259-266. |
| [2] | Fazhi FANG, Huiying GUI, Zhaojia LI, Xiaofeng ZHANG. Physiological Adaptation of Six Mangrove Seedlings to Different Salinity [J]. Bulletin of Botanical Research, 2023, 43(6): 881-889. |
| [3] | Chaoyang MA, Tianfeng LIU, Xiaoxue LI, Cancan HUO, Lingling FU, Zailiu LI. Interannual Changes in the Effects of Soil Gravel Content on the Growth and Physiology of Handeliodendron bodinieri Seedlings [J]. Bulletin of Botanical Research, 2023, 43(6): 890-899. |
| [4] | Shujun ZHNAG, Xinxin YANG, Jian LUO. Micromorphological Characteristics of Pollen and Its Taxonomic Significance of Saussurea in Sedgera Mountains of Tibet [J]. Bulletin of Botanical Research, 2023, 43(5): 741-755. |
| [5] | Qin TIAN, Chengyan SHAO, Hanning DUAN, Chenxuan YANG, Lu LI. Morph-anatomy of Leaf and Taxonomic Insights of Eight Viola species from Yunnan,China [J]. Bulletin of Botanical Research, 2023, 43(3): 447-460. |
| [6] | Fang HE, Yifei LU, Yongdi LIU, Wenke CHU, Xiaofeng JIN. Nutlet Morphology and Micromorphology of Carex sect. Paniceae (Cyperaceae) and Its Taxonomic Significance [J]. Bulletin of Botanical Research, 2023, 43(1): 1-8. |
| [7] | Teng LI, Cunyu ZHOU, Chaodong YANG, Zhanfeng LIU. Anatomical and Histochemical Features of the Pteris vittata (Pteridaceae) [J]. Bulletin of Botanical Research, 2023, 43(1): 20-29. |
| [8] | Bojia WEI, Xuewen ZHANG, Youfang WANG, Jiancheng ZHAO, Min LI. Morphology and Taxonomic Significance of Pseudoparaphyllia in Brachytheciaceae (Bryophyta) [J]. Bulletin of Botanical Research, 2022, 42(5): 733-740. |
| [9] | Jiawei XIAO, Yingjia WANG, Wenxuan HUANG, Weiping LI, Gongping KANG. Supplementary Description on Morphology and Cytology of Aster longipetiolatus C.C.Chang (Asteraceae) [J]. Bulletin of Botanical Research, 2022, 42(5): 741-745. |
| [10] | Zhaoyi LI, Longfei HAO, Tingyan LIU, Yanhong HE, You ZHANG, Shulan BAI, Xinyu YANG. AM Fungi Inoculation on Root Morphology and Nutrient Loading of Clematis fruticosa Seedlings under Simulated Atmospheric Nitrogen Deposition [J]. Bulletin of Botanical Research, 2022, 42(5): 886-895. |
| [11] | Xiaolei MA, Liukun JIA, Qian CAO, Shilong CHEN, Qingbo GAO. Numerical Taxonomy on Saxifraga diversifolia Complex(Saxifragaceae) [J]. Bulletin of Botanical Research, 2022, 42(4): 536-543. |
| [12] | Jun LI, Yaping DUAN, Xiuzhen CAI, Ting WANG, Baihan PAN. Application of Cuticular Micromorphology of the Cuticle of Pinus Needles in Taxonomy [J]. Bulletin of Botanical Research, 2022, 42(3): 341-351. |
| [13] | Guobin Liu, Ting Liao, Ye Wang, Liqin Guo, Jinzhe Zhao, Yanwu Yao, Jun Cao. Regulation Mechanism of Endogenous Hormones in Adventitious Roots Formation of Platycladus orientalis ‘Beverleyensis’ [J]. Bulletin of Botanical Research, 2022, 42(2): 278-288. |
| [14] | Hai-Jun XU, Qin YAO, Xin-Yu CHENG, Xiao-Fei WANG. Interspecies Difference of Astragalus on Root Development, Component Accumulation and Apparent Growth in Northern China [J]. Bulletin of Botanical Research, 2021, 41(6): 862-869. |
| [15] | Min LU, Xi-Lin LI, Xiong LU. SEM Sample Preparation of Observation Pollen Grains Morphology in Pollinium [J]. Bulletin of Botanical Research, 2021, 41(5): 836-840. |
| Viewed | ||||||
|
Full text |
|
|||||
|
Abstract |
|
|||||