Bulletin of Botanical Research ›› 2024, Vol. 44 ›› Issue (1): 51-61.doi: 10.7525/j.issn.1673-5102.2024.01.008
• Genetic and Breeding • Previous Articles Next Articles
Nan LI1,2, Xiaoxia TIAN2, Peichun MAO2, Mingli ZHENG2, LIN MENG2, Lan YUN1(
)
Received:2023-06-05
Online:2024-01-20
Published:2023-12-27
Contact:
Lan YUN
E-mail:yunlan@imau.edu.cn
CLC Number:
Nan LI, Xiaoxia TIAN, Peichun MAO, Mingli ZHENG, LIN MENG, Lan YUN. Phenotype and Pigment Analysis of Flower Organs of Iris lactea var. chinensis[J]. Bulletin of Botanical Research, 2024, 44(1): 51-61.
Add to citation manager EndNote|Ris|BibTeX
URL: https://bbr.nefu.edu.cn/EN/10.7525/j.issn.1673-5102.2024.01.008
Table 1
Provenance and original habitat information of I. lactea germplasm resources
| 编号Code | 种质材料 Germplasm resources | 种源地 Provenance | 生境 Habitat | 经纬度 Latitude and longitude | 海拔 Altitude /m |
|---|---|---|---|---|---|
| 1 | ML001 | 北京海淀区四季青镇 Four Seasons Green Town,Haidian District,Beijing | 果园田边,壤土 Edge of orchard field,loamy soil | 39°56′32″N 116°16′44″E | 57 |
| 2 | ML004 | 吉林省永吉县北大湖镇 Beidahu Town,Yongji County,Jilin Province | 羊草、马蔺和杂类草等组成的轻度盐碱化低地草甸 Slightly salinized lowland meadow comprised of Leymus chinensis,Iris lactea and forbes | 43°31′12″N 126°20′24″E | 399 |
| 3 | ML005 | 内蒙古赤峰阿鲁科尔沁旗 Aruqorqin Banne,Chifeng,Inner Mongolia | 羊草+绣线菊草甸草原,砂壤土 Leymus chinensis+Spiraea salicifolia meadow grassland,sandy loam soil | 42°10′12″ 118°31′12″ | 926 |
| 4 | ML006 | 山西省太原市 Taiyuan,Shanxi Province | 荒漠草原,公路旁,砂砾质 Desert steppe,roadside,gravelly | 37°31′12″N 112°19′E | 760 |
| 5 | ML007 | 内蒙古赤峰市克什克腾旗 Keshiketeng Banner,Chifeng,Inner Mongolia | 草甸草原,砂壤土 Meadow grassland,sandy loam soil | 43°15′54″N 117°32′45″E | 1 100 |
| 6 | ML008 | 内蒙古鄂尔多斯西部 Erdos West,Inner Mongolia | 盐化低地草甸,盐渍化草甸土,砂砾质 Saline lowland meadow,saline meadow soil,gravelly | 39°48′N 109°49′48″E | 1 480 |
| 7 | ML009 | 甘肃省甘南藏族自治州合作市 Hezuo City,Gannan Tibetan Autonomous Prefecture,Gansu Province | 高寒草甸,亚高山草甸土 Alpine meadow,subalpine meadow soil | 34°59′10″ 102°54′41″ | 2 936 |
| 8 | ML010 | 内蒙古临河区白脑包镇中心村 Zhongxin Village Baizuobao Town,Linhe District,Inner Mongolia | 农田撂荒地、公路旁,壤土 Agrarian wild land,besides areas of calzada,loam | 41°0′50″ 107°18′34″ | 1 020 |
| 9 | ML011 | 内蒙古临河区八一镇丰收村 Harvest Village,Bayi Town,Linhe District,Inner Mongolia | 公路边盐碱荒地,盐碱土 Saline wasteland by the highway,saline soil | 40°48′56″ 107°29′24″ | 1 038 |
| 10 | ML012 | 内蒙古临河区隆胜镇新明村 Xinming Village,Longsheng Town,Linhe District,Inner Mongolia | 黎科植物与马蔺等组成的盐化低地草甸 Saline lowland meadows composed of Chenopodiaceae plants and I. lactea etc. | 40°53′9″ 107°34′18″ | 1 034 |
| 11 | ML013 | 内蒙古临河区城关镇万来村 Wanlai Village,Chengguan Town,Linhe District,Inner Mongolia | 多年生禾草与马蔺等组成的盐生 Saline meadow composed of perennial grasses and I. lactea etc. | 40°47′43″ 107°26′18″ | 1 037 |
| 12 | ML014 | 内蒙古临河区双河镇丰河村 Fenghe Village,Shuanghe Town,Linhe District,Inner Mongolia | 盐化低地草甸,砂砾质 Saline lowland meadows,gravelly | 40°42′15″ 107°25′9″ | 1 040 |
| 13 | ML015 | 新疆伊犁州昭苏县 Zhaosu County,Yili Prefecture,Xinjiang | 盐碱化较强的盐化低地草甸,砂砾质 Saline lowland meadows with strong salinization,gravelly | 43°8′23″ 81°7′39″ | 1 846 |
| 14 | ML016 | 内蒙古临河曙光镇永强村 Yongqiang Village,Shuguang Town,Linhe,Inner Mongolia | 盐化低地草甸,砂砾质 Saline lowland meadows,gravelly | 40°46′14″ 107°25′20″ | 1 039 |
| 15 | ML017 | 新疆伊犁州昭苏军马场 Zhaosu Military Horse Farm,Yili Prefecture,Xinjiang | 盐化低地草甸 Saline lowland meadow | 43°55′20″ 81°19′39″ | 1 800 |
| 16 | ML018 | 内蒙古呼和浩特市大青山 Daqing Mountain,Hohhot,Inner Mongolia | 干旱荒漠草原,公路边,砂壤土 Arid desert steppe,roadside,sandy loam soil | 40°52′38″ 111°35′27″ | 1 160 |
| 17 | ML019 | 新疆伊犁州伊犁河边 By the Ili River,Ili Prefecture,Xinjiang | 盐化低地草甸 Saline lowland meadow | 43°51′8″ 81°24′7″ | 530 |
| 18 | ML020 | 新疆伊犁州巩留县七乡伊犁河南岸 South bank of Ili River,Seven Townships,Gongliu County,Ili Prefecture,Xinjiang | 盐化低地草甸 Saline lowland meadows | 43°36′49″ 81°50′39″ | 703 |
| 19 | ML023 | 新疆伊犁州奶牛场 Dairy Farm in Yili Prefecture,Xinjiang | 重度盐化低地草甸,盐碱土 Heavily salinized lowland meadows,saline soils | 44°7′48″ 81°17′11″ | 603 |
| 20 | ML029 | 内蒙古科尔沁左翼中旗保康镇 Baokang Town,Horqin Left Wing Central Banner,Inner Mongolia | 轻度盐化低地草甸 Mildly saline lowland meadows | 44°7′48″ 123°21′12″ | 144 |
| 21 | ML032 | 内蒙古通辽市科左后旗阿古拉 Agura,Kezuo Houqi,Tongliao,Inner Mongolia | 草甸草原,砂壤土 Meadow grassland,sandy loam | 43°18′26″ 122°38′6″ | 262 |
| 22 | ML035 | 新疆伊宁县胡地亚于孜乡阔旦塔木村 Kordantam Village,Khudiyuz Township,Yining,Xinjiang | 中度盐碱化低地草甸,盐化灰钙土 Moderately saline lowland meadow,salinized gray calcium soil | 43°45′15″ 83°10′30″ | 1 071 |
Table 2
Phenotypic traits and description of I. lactea flower
编号 Code | 性状 Trait | 表型性状描述 Description of phenotypic traits |
|---|---|---|
| 1 | 垂瓣长 Fall length | 垂瓣顶端到底端的距离 Distance from the top to the bottom of the fall |
| 2 | 垂瓣宽 Fall width | 垂瓣最宽处的距离 Distance from the widest part of the fall |
| 3 | 旗瓣长 Standard length | 旗瓣顶端到底端的距离 Distance from the top to the bottom of the standard |
| 4 | 旗瓣宽 Standard width | 旗瓣最宽处的距离 Distance from the widest part of the standard |
| 5 | 花径 Flower diameter | 3个垂瓣最低点构成的平面上距离最远两点之间的距离 The distance between the two farthest points in the plane formed by the lowest point of the 3 fall |
| 6 | 花高 Flower height | 垂瓣最低点到旗瓣最高点之间的垂直距离 Vertical distance between the lowest point of the fall and the highest point of the standard |
| 7 | 花葶高度 Flower branch length | 地面至花梗下端的垂直距离 Vertical distance from the ground to the lower end of the pedicel |
| 8 | 垂瓣花斑大小 Fall spot size | 垂瓣花斑长与垂瓣长的比值 Ratio of fall spot length to fall length |
| 9 | 花色 Flower color | RHSCC比色卡结合色差仪测色 RHSCC colorimetric card combined with colorimeter color measurement |
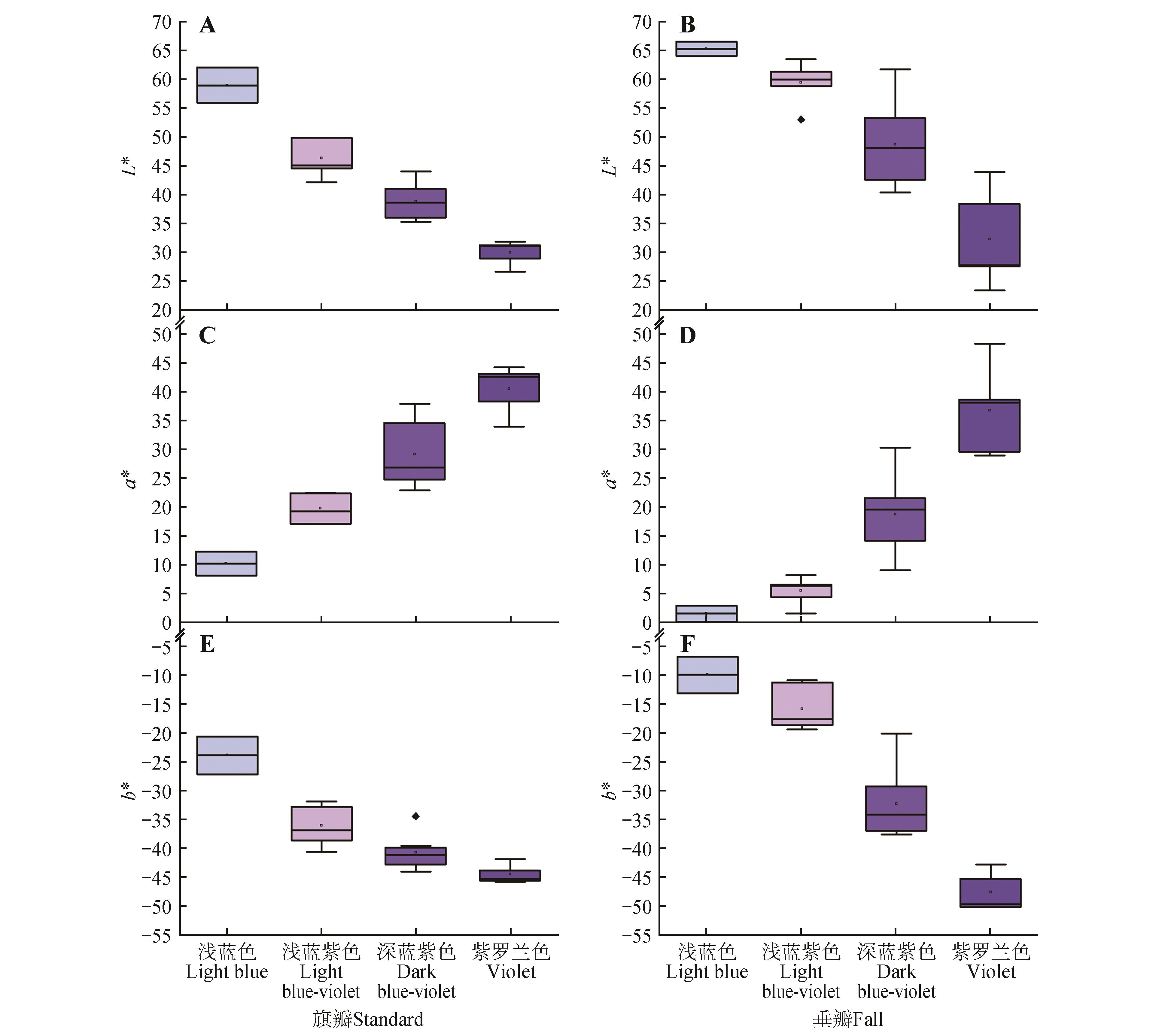
Fig.4
Flower color phenotype distribution of I. lactea germplasm resourcesA.The distribution of standard a* and standard b*;B.The distribution of fall a* and fall b*;C.The distribution of standard a* and standard L*; D.The distribution of fall a* and fall L*;E.The distribution of standard b* and standard L*;F.The distribution of fall b* and fall L*;G.The distribution of standard c* and standard L*;H.The distribution of fall c* and fall L*.
Table 3
Phenotypic traits of floral organ of different color lines of I. lactea germplasm resources
色系 Color group | 垂瓣长 Fall length/ cm | 垂瓣宽 Fall width/ cm | 旗瓣长 Standard length/ cm | 旗瓣宽 Standard width/ cm | 花径 Flower diameter/ cm | 垂瓣花斑大小 Fall spot size | 花高 Flower height/ cm | 花葶高 Flower branch length/cm |
|---|---|---|---|---|---|---|---|---|
浅蓝色 Light blue | 4.60±0.11c | 0.88±0.06b | 4.85±0.13c | 0.80±0.03ab | 4.35±0.54c | 0.32±0.02a | 5.35±0.06c | 21.10±0.60b |
浅蓝紫色 Light blue-violet | 5.16±0.08b | 0.95±0.03b | 5.13±0.09bc | 0.72±0.03b | 6.35±0.17a | 0.33±0.02a | 5.70±0.05b | 26.96±0.71a |
深蓝紫色 Dark blue- violet | 5.76±0.14a | 1.26±0.05a | 5.45±0.13ab | 0.89±0.05ab | 5.68±0.16b | 0.29±0.01ab | 5.91±0.06b | 27.14±0.58a |
紫罗兰色 Violet | 5.98±0.21a | 1.27±0.09a | 5.68±0.17a | 0.97±0.09a | 5.09±0.15b | 0.26±0.02b | 6.31±0.09a | 29.10±0.74a |
Table 4
Pearson correlation analysis between CIE Lab parameters and the mass fraction of pigment in I. lactea germplasm resources
指标 Index | 部位 Site | L* | a* | b* | c* | h |
|---|---|---|---|---|---|---|
类胡萝卜素 Carotenoid | 旗瓣Standard | 0.476* | -0.472* | 0.375 | -0.445* | -0.491* |
| 垂瓣Fall | 0.442* | -0.454* | 0.493* | -0.478* | -0.240 | |
类黄酮 Flavonoid | 旗瓣Standard | -0.657** | 0.567** | -0.557** | 0.536* | 0.523* |
| 垂瓣Fall | -0.569** | 0.546** | -0.503* | 0.527* | 0.539** | |
花色苷 Anthocyanin | 旗瓣Standard | -0.698** | 0.791** | -0.546** | 0.624** | 0.766** |
| 垂瓣Fall | -0.754** | 0.725** | -0.648** | 0.687** | 0.392 |
| 1 | 余小芳,蒋喻林,刘宇婧,等.基于形态学的8种鸢尾属植物分支分类学分析[J].四川农业大学学报,2016,34(4):440-444. |
| YU X F, JIANG Y L, LIU Y J,et al.Branch taxonomic analysis of 8 Iris species based on morphology[J].Journal of Sichuan Agricultural University,2016,34(4):440-444. | |
| 2 | 李东升.不同栽植和管护措施对马蔺生长和开花的影响[J].青海农林科技,2022,125(1):84-87. |
| LI D S.Effects of different planting and management measures on the growth and flowering of Iris lactea [J].Science and Technology of Qinghai Agriculture and Forestry,2022,125(1):84-87. | |
| 3 | 安文杰,王银杰,刘清泉,等.马蔺幼胚高效再生体系的建立[J].植物研究,2023,43(3):333-339. |
| AN W J, WANG Y J, LIU Q Q,et al.Establishment of an efficient regeneration system in Iris lactea var.chinensis with immature embryo[J].Bulletin of Botanical Research,2023,43(3):333-339. | |
| 4 | ZHANG Y, ZHANG R H, SONG Z,et al. Iris lactea var.chinensis plant drought tolerance depends on the response of proline metabolism,transcription factors,transporters and the ROS-scavenging system[J].BMC Plant Biology,2023,23(1):1-18. |
| 5 | TIE F F, FU Y Y, HU N,et al.Isolation of oligostilbenes from Iris lactea Pall.var.chinensis (Fisch.) Koidz and their anti-inflammatory activities[J].RSC Advances,2022,12(51):32912-32922. |
| 6 | 虎娟,安韶雅,林哲,等.马蔺DFR基因的克隆及生物信息学特征分析[J].北方园艺,2017,399(24):109-115. |
| HU J, AN S Y, LIN Z,et al.Cloning and bioinformatic analysis of DFR gene in Iris lactea [J].Northern Horticulture,2017,399(24):109-115. | |
| 7 | HASHIMOTO F, TANAKA M, MAEDA H,et al.Characterization of cyanic flower color of Delphinium cultivars[J].Journal of the Japanese Society for Horticultural Science,2000,69(4):428-434. |
| 8 | 洪艳,白新祥,孙卫,等.菊花品种花色表型数量分类研究[J].园艺学报,2012,39(7):1330-1340. |
| HONG Y, BAI X X, SUN W,et al.The numerical classification of Chrysanthemum flower color phenotype[J].Acta Horticulturae Sinica,2012,39(7):1330-1340. | |
| 9 | CUNJA V, MIKULIC-PETKOVSEK M, STAMPAR F,et al.Compound identification of selected rose species and cultivars:an insight to petal and leaf phenolic profiles[J].Journal of the American Society for Horticultural Science,2014,139(2):157-166. |
| 10 | 吴艳梅,吴艺萍,金雪花,等.丽格海棠花青素苷成分及分布对花色的影响[J].西北植物学报,2020,40(1):58-68. |
| WU Y M, WU Y P, JIN X H,et al.Effects of anthocyanin composition and distribution on flower color of Rieger Begonia[J].Acta Botanica Boreali-Occidentalia Sinica,2020,40(1):58-68. | |
| 11 | YANG Y, LI B, FENG C Y,et al.Chemical Mechanism of flower color microvariation in Paeonia with yellow flowers[J].Horticultural Plant Journal,2020,6(3):179-190. |
| 12 | QI Y Y, LOU Q, LI H B,et al.Anatomical and biochemical studies of bicolored flower development in Muscari latifolium [J].Protoplasma,2013,250(6):1273-1281. |
| 13 | MA X H, ZHOU Q, HU Q D,et al.Effects of different irradiance conditions on photosynthetic activity,photosystem II,rubisco enzyme activity,chloroplast ultrastructure,and chloroplast-related gene expression in Clematis tientaiensis leaves[J].Horticulturae,2023,9(1):118. |
| 14 | WEISS D.Regulation of flower pigmentation and growth:multiple signaling pathways control anthocyanin synthesis in expanding petals[J].Physiologia Plantarum,2000,110(2):152-157. |
| 15 | BRITTON G, LIAAEN-JENSEN S, PFANDER H.Carotenoids Handbook[M].Basel:Springer Verlag,2003:13-30. |
| 16 | 田蔼茜,秦巧平,张志国,等.萱草花色育种研究进展[J].植物生理学报,2023,59(1):1-12. |
| TIAN A Q, QIN Q P, ZHANG Z G,et al.Research progress of daylily(Hemerocallis spp.) flower coloration breeding[J].Plant Physiology Journal,2023,59(1):1-12. | |
| 17 | 赵毓棠.马兰的学名考证[J].植物研究,1980,0(4):75-79. |
| ZHAO Y T.An investigation on “Malien”[J].Bulletin of Botanical Research,1980,0(4):75-79. | |
| 18 | 王育青.马蔺繁殖生物学特性及遗传多样性研究[D].呼和浩特:中国农业科学院,2010. |
| WANG Y Q.Study on reproductive biological characteristics and genetic diversity of Iris lactea [D].Hohhot:Chinese Academy of Agricultural Sciences,2010. | |
| 19 | 高俊凤.植物生理学实验技术[M].西安:世界图书出版公司,2000:101-103. |
| GAO J F.Plant physiology experimental technique[M].Xi’an:World Book Publishing Company,2000:101-103. | |
| 20 | 卢柏山,董会,史亚兴,等.不同品种鲜食玉米体外抗氧化能力综合评价[J].华北农学报,2021,36():101-110. |
| LU B S, DONG H, SHI Y X,et al.Comprehensive evaluation of antioxidant capacity in vitro of different varieties of fresh corn[J].Acta Agriculturae Boreali-Sinica,2021,36():101-110. | |
| 21 | 韦婷,杨艳宇,李茓艳,等.pH示差法测定苹果皮花色苷含量[J].食品与发酵科技,2022,58(2):130-136. |
| WEI T, YANG Y Y, LI X Y,et al.Determination of anthocyanin content in apple peel by pH differential method[J].Food and Fermentation Sciences & Technology,2022,58(2):130-136. | |
| 22 | 高锦明.植物化学[M].北京:科学出版社,2003:156-169. |
| GAO J M.Phytochemistry[M].Beijing:Science Press,2003:156-169. | |
| 23 | 李欣,沈向,张鲜鲜,等.观赏海棠叶、果、花色彩的数字化描述[J].园艺学报,2010,37(11):1811-1817. |
| LI X, SHEN X, ZHANG X X,et al.Digital description of leaf,fruit and flower color of ornamental crabapple[J].Acta Horticulturae Sinica,2010,37(11):1811-1817. | |
| 24 | WANG L S, HASHIMOTO F, SHIRAISHI A,et al.Chemical taxonomy of the Xibei tree peony from China by floral pigmentation[J].Journal of Plant Research,2004,117(1):47-55. |
| 25 | MCGUIRE R G.Reporting of objective color measurements[J].HortScience,1992,27(12):1254-1255. |
| 26 | VOSS D H, HALE W N.A comparison of the three editions of the Royal Horticultural Society Colour Chart[J].HortScience,1998,33(1):13-17. |
| 27 | VOSS D H.Relating colorimeter measurement of plant color to the Royal Horticultural Society Colour Chart[J].HortScience,1992,27(12):1256-1260. |
| 28 | UDDIN A J, HASHIMOTO F, SHIMIZU K,et al.Monosaccharides and chitosan sensing in bud growth and petal pigmentation in Eustoma grandiflorum (Raf.) Shinn.[J].Scientia Horticulturae,2004,100(1/2/3/4):127-138. |
| 29 | 安田齐.花色的生理生物化学[M].,傅玉兰,译.北京:中国林业出版社,1989. |
| AN T Q.Flower color physiology and biochemistry[M].,FU Y L,Trans.Beijing:China Forestry Publishing House,1989. | |
| 30 | RUDALL P J.Colourful cones:how did flower colour first evolve?[J].Journal of Experimental Botany,2020,71(3):759-767. |
| 31 | 赵薪鑫,焦芳,孙国峰,等.萱草花瓣中类胡萝卜素分析样品的制备及UPCC-MS检测方法研究[J].植物研究,2017,37(6):926-932. |
| ZHAO X X, JIAO F, SUN G F,et al.Sample preparation and UPCC-MS determination method of carotenoids in petals of Hemerocallis[J].Bulletin of Botanical Research,2017,37(6):926-932. | |
| 32 | 王荣,成梦琳,刘慧娜,等.黑暗条件下褪黑素对栀子叶片类黄酮含量及相关基因表达水平的影响[J].植物研究,2018,38(4):559-567. |
| WANG R, CHENG M L, LIU H N,et al.Effects of melatonin on flavonoids content and related gene expression levels of gardenia under dark conditions[J].Bulletin of Botanical Research,2018,38(4):559-567. | |
| 33 | TANAKA Y, BRUGLIERA F, CHANDLER S.Recent progress of flower colour modification by biotechnology[J].International Journal of Molecular Sciences,2009,10(12):5350-5369. |
| 34 | CONNER P J, MACLEAN D.Fruit anthocyanin profile and berry color of muscadine grape cultivars and Muscadinia germplasm[J].Hort Science,2013,48(10):1235-1240. |
| 35 | 许倩,张晨,吴嘉维,等.花青素的生物合成研究进展[J].林产化学与工业,2020,40(3):1-11. |
| XU Q, ZHANG C, WU J W,et al.Research progress on anthocyanin biosynthesis[J].Chemistry and Industry of Forest Products,2020,40(3):1-11. | |
| 36 | LU C F, LI Y F, WANG J Y,et al.Flower color classification and correlation between color space values with pigments in potted multiflora chrysanthemum[J].Scientia Horticulturae,2021,283(4):110082. |
| 37 | LI X, WANG Z G, ZHANG W,et al.Flower pigment inheritance and anthocyanin characterization of hybrids from pink-flowered and white-flowered strawberry[J].Scientia Horticulturae,2016,200:143-150. |
| 38 | JUNKA N, KANLAYANARAT S, BUANONG M,et al.Analysis of anthocyanins and the expression patterns of genes involved in biosynthesis in two Vanda hybrids[J].International Journal of Agriculture and Biology,2011,13(6):873-880. |
| 39 | ZHU M L, ZHENG X C, SHU Q Y,et al.Relationship between the composition of flavonoids and flower colors variation in tropical water lily (Nymphaea) cultivars[J].PLoS One,2012,7(4):e34335. |
| [1] | Zhezhe LI, Yidan ZHANG, Bo WANG, Zhenghao WANG, Lu WANG, Beibei CHENG. Changes and Influencing Factors of Anthocyanins in Hibiscus syriacus During Flowering [J]. Bulletin of Botanical Research, 2023, 43(4): 550-561. |
| [2] | Na LI, Xiaonan WANG. Screening and Phenotypic Identification of Seed Coat Pigmentation Mutants in Arabidopsis thaliana [J]. Bulletin of Botanical Research, 2023, 43(1): 59-68. |
| [3] | Mengqiao GUO, Xuanyu CHEN, Senrong HONG, Jiao LI, Jie FAN, Xinyu CHENG. The Correlation Between Leaf Phenotype Diversity and Total Flavonoids Content of Overground Part of Tetrastigma hemsleyanum Diels & Gilg [J]. Bulletin of Botanical Research, 2022, 42(5): 876-885. |
| [4] | Xiang ZHAO, Xue SU, Hai-Yan WU, Hui ZHANG, Kun SUN. Floral Organogenesis of Hypericum przewalskii(Hypericaceae) and Its Systematic Implications [J]. Bulletin of Botanical Research, 2020, 40(6): 813-819. |
| [5] | Yong-Mei MIAO, Yuan Tong, Da Fang, Yu-Hao Wang. Effects of Rare Earth Element Lanthanum on Adventitious Buds Induction, Plantlets Growth and Synthesis of Secondary Metabolites of Dendrobium officinale [J]. Bulletin of Botanical Research, 2020, 40(6): 839-845. |
| [6] | LI Xin-Lei, WANG Jia-Tong, SUN Zhen-Yuan, WANG Jie, YIN Heng-Fu, FAN Zheng-Qi, LI Ji-Yuan. UPLC-Q-TOF-MS Analysis of Flavonoids in Flowers and Leaves of Camellia chuangtsoensis [J]. Bulletin of Botanical Research, 2019, 39(3): 365-371. |
| [7] | WANG Rong, CHENG Meng-Lin, LIU Hui-Na, ZHAO Da-Qiu, TAO Jun. Effects of Melatonin on Flavonoids Content and Related Gene Expression Levels of Gardenia under Dark Conditions [J]. Bulletin of Botanical Research, 2018, 38(4): 559-567. |
| [8] | ZHANG Yuan-Yuan, MENG Yong-Bin, XU Lei, JIA Nan, MENG Qing-Huan, XIANG Feng-Ying, LU Qi. Homogenate Extraction Process in Total Flavonoids from Elaeagnus angustifolia Fruit [J]. Bulletin of Botanical Research, 2018, 38(4): 625-631. |
| [9] | YU Ting-Ting, NI Xiu-Zhen, GAO Li-Hong, HAN Guo-Jun, ZHU Chang-Fu, SHENG Yan-Min. Advances in Study of Dihydroflavonol 4-Reductase(DFR) Genes of Higher Plants [J]. Bulletin of Botanical Research, 2018, 38(4): 632-640. |
| [10] | ZHANG Qiang, LIU Yi, WU Xiao-Min, SHU Liang-Zuo, SONG Yun-Xian, CHEN Chu, LONG Min-Hui. Preliminary Study on the Effects of Two Different Nitrogen Forms on Flavonoids Accumulation and Related Molecular Mechanism in Medicinal Plant Tetrastigma hemsleyanum [J]. Bulletin of Botanical Research, 2018, 38(3): 367-376. |
| [11] | ZHANG Zi-Dong, ZHANG Yuan-Yuan, MENG Yong-Bin, XU Lei, JIA Nan, XIANG Feng-Ying, LU Qi. Flavonoids Enrichment from Elaeagnus angustifolia Fruit [J]. Bulletin of Botanical Research, 2018, 38(3): 467-474. |
| [12] | XU Meng-Ke, LI Dan, MENG Lai-Sheng, JIANG Ji-Hong. Arabidopsis thaliana Transcription Factor Ethylene-insensitive3(EIN3) Inhibits the Synthesis of Anthocyanins [J]. Bulletin of Botanical Research, 2018, 38(1): 148-154. |
| [13] | ZHAO Xin-Xin, JIAO Fang, SUN Guo-Feng, ZHANG Jin-Zheng. Sample Preparation and UPCC-MS Determination Method of Carotenoids in Petals of Hemerocallis [J]. Bulletin of Botanical Research, 2017, 37(6): 926-932. |
| [14] | YUAN Xiu-Yun, XU Shen-Ping, WANG Ying-Bo, CUI Bo. Cloning of PhalPI Gene from Phalaenopsis and Its Expression in Floral Organ Mutants [J]. Bulletin of Botanical Research, 2017, 37(3): 416-423. |
| [15] | WU Wen-Jun, LU Juan, ZHAO Meng-Jiong, SHI Yan-Hu, JIANG Cheng-Ying. Flowering Biological Characteristics of Olea europaea(Chenggu 32) in the North Subtropical of China [J]. Bulletin of Botanical Research, 2017, 37(2): 236-241. |
| Viewed | ||||||
|
Full text |
|
|||||
|
Abstract |
|
|||||