Bulletin of Botanical Research ›› 2023, Vol. 43 ›› Issue (1): 100-108.doi: 10.7525/j.issn.1673-5102.2023.01.011
• Physiology and Ecology • Previous Articles Next Articles
Lijie CHEN1, Wanyuan DANG2, Weiwei CHEN1, Tao QIU1, Xiaohong CHEN1(
)
Received:2022-06-09
Online:2023-01-20
Published:2022-12-23
Contact:
Xiaohong CHEN
E-mail:xiaohong_chen@sicau.edu.cn
About author:CHEN Lijie(1999—),female,master,mainly engaged in plant physiology and ecology research.
Supported by:CLC Number:
Lijie CHEN, Wanyuan DANG, Weiwei CHEN, Tao QIU, Xiaohong CHEN. Spatial Variation of Phenotypes of Fruit and Seed Traits of Michelia wilsonii, a Rare and Endangered Plant[J]. Bulletin of Botanical Research, 2023, 43(1): 100-108.
Add to citation manager EndNote|Ris|BibTeX
URL: https://bbr.nefu.edu.cn/EN/10.7525/j.issn.1673-5102.2023.01.011
Table 1
Sample plot information of M. wilsonii
坡度 Slope /° | 坡向 Aspect | 郁闭度 Canopy density | 主要植物种类 The main plant species | 已挂果的峨眉 含笑植株数量 Number of M. wilsonii bearing fruit | 峨眉含笑 平均树高 Mean height of M. wilsonii bearing fruit /m | 峨眉含笑 平均胸径 Mean DBH of M. wilsonii bearing fruit /cm | 峨眉含笑 平均冠幅 Mean crown of M. wilsonii bearing fruit /m | |||
|---|---|---|---|---|---|---|---|---|---|---|
乔木 Arbors | 灌木 Shrubs | 竹类 Bamboos | 草本植物 Herbs | |||||||
| 24 | 北 North | 0.7 | 峨眉含笑M. wilsonii 杉木C. lanceolata 华中樱桃Prunus conradinae 亮叶桦B. luminifera 日本杜英Elaeocarpus japonicus | 寒莓Rubus buergeri 石海椒Reinwardtia indica 常山Dichroa febrifuga 菝葜Smilax china | 水竹P. heteroclada 毛竹Phyllostachys edulis | 楼梯草Elatostema involucratum 水蓼Polygonum hydropiper 扁竹兰Iris confusa | 91 | 12.5 | 24.2 | 5 |
Table 2
Statistical characteristics of phenotypic fruit and seed traits of M. wilsonii
性状 Trait | 最小值 Minimum | 最大值 Maximum | 平均值 Mean | 标准差 Standard deviation | 变异系数 Coefficient of variation /% |
|---|---|---|---|---|---|
| 果实长 Fruit length /mm | 109.20 | 240.76 | 169.31 | 30.90 | 18.25 |
| 果实宽 Fruit width /mm | 22.36 | 53.17 | 34.32 | 6.50 | 18.95 |
| 果形指数 Fruit shape index | 2.70 | 7.96 | 5.08 | 1.20 | 23.58 |
| 果实鲜质量 Fruit fresh mass /g | 22.33 | 122.10 | 57.32 | 19.28 | 33.64 |
| 果实干质量 Fruit dry mass /g | 6.01 | 35.71 | 18.08 | 5.82 | 32.20 |
| 蓇葖纵径 Follicle longitudinal diameter /mm | 9.81 | 22.88 | 14.54 | 2.65 | 18.20 |
| 蓇葖横径 Follicle transverse diameter /mm | 6.41 | 21.08 | 9.15 | 1.64 | 17.88 |
| 蓇葖败育率 Follicle abortion rate /% | 3.97 | 65.88 | 29.83 | 11.36 | 38.07 |
| 种子纵径 Seed longitudinal diameter /mm | 4.12 | 7.12 | 5.69 | 0.56 | 9.82 |
| 种子横径 Seed transverse diameter /mm | 3.65 | 8.31 | 5.90 | 0.83 | 14.11 |
| 种子千粒质量 1 000-seed mass /g | 25.02 | 165.06 | 81.30 | 24.97 | 30.71 |
| 种子败育率 Seed abortion rate /% | 1.12 | 43.95 | 14.25 | 10.78 | 75.65 |
Table 3
Abortive rate of seed and fruit of M. wilsonii
位置 Position | 蓇葖败育率 Follicle abortion rate /% | 种子败育率 Seed abortion rate /% | ||
|---|---|---|---|---|
平均值±标准差 Mean±Standard deviation | 变异系数 Coefficient of variation | 平均值±标准差 Mean±Standard deviation | 变异系数 Coefficient of variation | |
果实上部 Upper part of fruit | 25.19±13.01b | 51.62 | 18.15±13.71a | 75.52 |
果实中部 Middle part of fruit | 23.45±11.34c | 48.35 | 15.05±12.56a | 83.45 |
果实下部 Lower part of fruit | 38.22±12.66a | 33.14 | 18.32±13.82a | 75.40 |
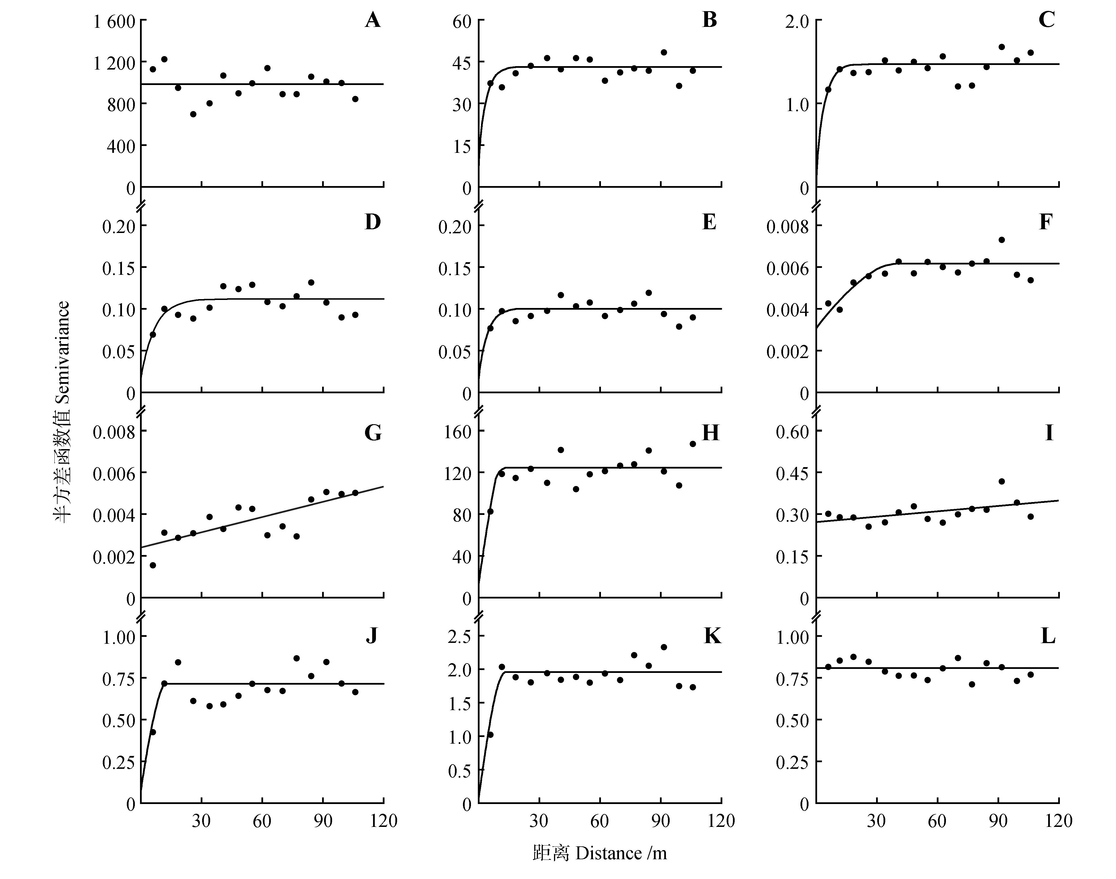
Table 4
Model and parameters of semi-variograms of phenotypic fruit and seed traits of M. wilsonii
性状 Trait | 模型 Model | 块金值 Nugget (C0) | 基台值 Sill (C0+C) | 空间结构比 Proportion (C0/C0+C) | 变程 Range(A) /m | 决定系数 Coefficient of determination | 残差平方和 Residual sum of squares |
|---|---|---|---|---|---|---|---|
果实长 Fruit length | 线性模型 Linear model | 979.045 | 979.045 | 1.000 | 105.26 | 0.03 | 2.74×105 |
果实宽 Fruit width | 指数模型 Exponential model | 5.300 | 42.900 | 0.124 | 10.20 | 0.19 | 1.64×102 |
果形指数 Fruit shape index | 指数模型 Exponential model | 0.185 | 1.456 | 0.127 | 11.10 | 0.24 | 0.23 |
果实鲜质量 Fruit fresh mass | 指数模型 Exponential model | 0.012 | 0.111 | 0.110 | 19.50 | 0.38 | 2.69×10-3 |
果实干质量 Fruit dry mass | 指数模型 Exponential model | 0.009 | 0.100 | 0.090 | 12.00 | 0.22 | 1.71×10-3 |
蓇葖纵径 Follicle longitudinal diameter | 球状模型 Spherical model | 0.003 | 0.006 | 0.499 | 39.20 | 0.67 | 3.20×10-6 |
蓇葖横径 Follicle transverse diameter | 线性模型 Linear model | 0.002 | 0.005 | 0.491 | 105.26 | 0.59 | 5.91×10-6 |
蓇葖败育率 Follicle abortion rate | 高斯模型 Gaussian model | 14.300 | 124.100 | 0.115 | 9.70 | 0.42 | 2.20×103 |
种子纵径 Seed longitudinal diameter | 线性模型 Linear model | 0.274 | 0.339 | 0.809 | 105.26 | 0.25 | 0.02 |
种子横径 Seed transverse diameter | 球状模型 Spherical model | 0.047 | 0.714 | 0.066 | 12.90 | 0.39 | 0.12 |
种子千粒质量 1 000-seed mass | 球状模型 Spherical model | 0.001 | 1.954 | 0.001 | 13.20 | 0.65 | 0.42 |
种子败育率 Seed abortion rate | 线性模型 Linear model | 0.805 | 0.805 | 1.000 | 105.26 | 0.18 | 0.04 |
Fig.2
Semi-variograms of phenotypic fruit and seed traits of M. wilsoniiA.Fruit length;B.Fruit width;C.Fruit shape index;D.Fruit fresh mass;E.Fruit dry mass;F.Follicel longitudinal diameter;G.Follicel transverse diameter;H.Follicle abortion rate;I.Seed longitudinal diameter;J.Seed transverse diameter;K.1 000-seed mass;L.Seed abortion rate
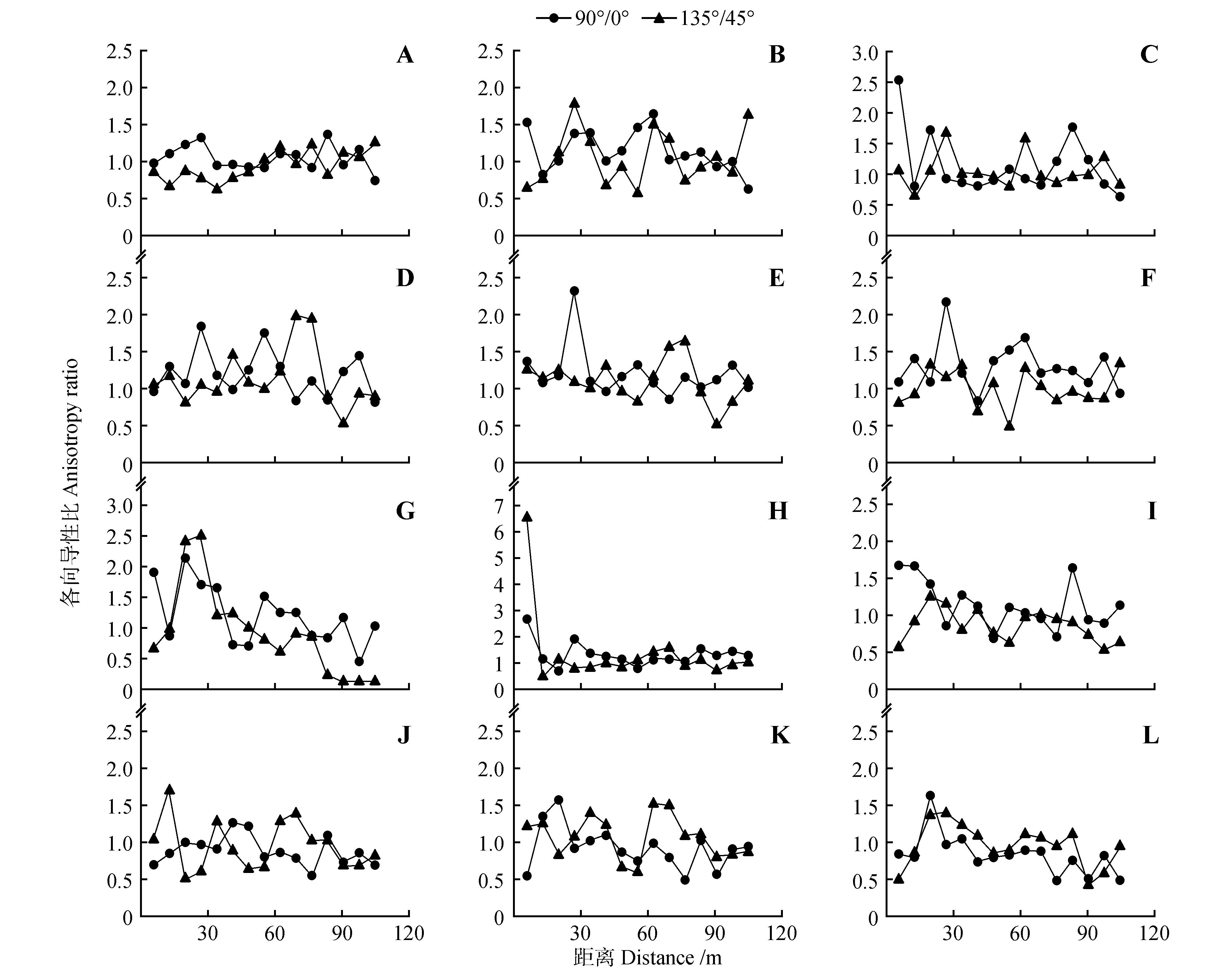
Fig.3
Anisotropy ratios of phenotypic fruit and seed traits of M. wilsoniiA.Fruit length;B.Fruit width;C.Fruit shape index;D.Fruit fresh mass;E.Fruit dry mass;F.Follicel longitudinal diameter;G.Follicel transverse diameter;H.Follicle abortion rate;I.Seed longitudinal diameter;J.Seed transverse diameter;K.1 000-seed mass;L.Seed abortion rate
| 1 | 杨旭,杨志玲,王洁,等.濒危植物凹叶厚朴种实特性[J].生态学杂志,2012,31(5):1077-1081. |
| YANG X, YANG Z L, WANG J,et al.Fruit and seed traits of endangered species Magnolia officinalis subsp.biloba [J].Chinese Journal of Ecology,2012,31(5):1077-1081. | |
| 2 | BENÍTEZ-MALVIDO J, GONZÁLEZ-DI PIERRO A M, LOMBERA R,et al.Seed source,seed traits,and frugivore habits:implications for dispersal quality of two sympatric primates[J].American Journal of Botany,2014,101(6):970-978. |
| 3 | WANG Z Y, CAO L, ZHANG Z B.Seed traits and taxonomic relationships determine the occurrence of mutualisms versus seed predation in a tropical forest rodent and seed dispersal system[J].Integrative Zoology,2014,9(3):309-319. |
| 4 | GONG H D, TANG C Z, WANG B.Post-dispersal seed predation and its relations with seed traits:a thirty-species-comparative study[J].Plant Species Biology,2015,30(3):193-201. |
| 5 | WENG Y H, LIU K J, CHEN Y B,et al.Variation in cone and seed traits in a clonal seed orchard of red pine(Pinus koraiensis Sieb.et Zucc.)[J].Scandinavian Journal of Forest Research,2020,35(1/2):1-9. |
| 6 | 冯秋红,史作民,徐峥静茹,等.岷江柏天然种群种实表型变异特征[J].应用生态学报,2017,28(3):748-756. |
| FENG Q H, SHI Z M, XU Z J R,et al.Phenotypic variations in cones and seeds of natural Cupressus chengiana populations in China[J].Chinese Journal of Applied Ecology,2017,28(3):748-756. | |
| 7 | 李洪果,陈达镇,许靖诗,等.濒危植物格木天然种群的表型多样性及变异[J].林业科学,2019,55(4):69-83. |
| LI H G, CHEN D Z, XU J S,et al.Phenotypic diversity and variation in natural populations of Erythrophleum fordii,an endangered plant species[J].Scientia Silvae Sinicae,2019,55(4):69-83. | |
| 8 | 冯秋红,李登峰,于涛,等.极小种群野生植物梓叶槭的种实表型变异特征[J].生物多样性,2020,28(3):314-322. |
| FENG Q H, LI D F, YU T,et al.Phenotypic fruit and seed variations of Acer catalpifolium,a wild plant with extremely small populations in China[J].Biodiversity Science,2020,28(3):314-322. | |
| 9 | LI H, REYNOLDS J F.On definition and quantification of heterogeneity[J].Oikos,1995,73(2):280-284. |
| 10 | 宋建强,程仕伟,姜文广,等.蛇龙珠葡萄园葡萄果实品质的空间变异分析[J].西北农林科技大学学报(自然科学版),2019,47(2):119-125. |
| SONG J Q, CHENG S W, JIANG W G,et al.Spatial variability in grape quality of cabernet gernischt within vineyard[J].Journal of Northwest A & F University(Natural Science Edition),2019,47(2):119-125. | |
| 11 | 何飞,马钦彦,刘兴良,等.四川野生木兰科植物生物学特性及其地理分布特点[J].北京林业大学学报,2008,30(S1):272-277. |
| HE F, MA Q Y, LIU X Y,et al.Biological characteristics and geographical distribution of wild Magnoliaceae plants in Sichuan Province,southwest China[J].Journal of Beijing Forestry University,2008,30(S1):272-277. | |
| 12 | 刘晓捷.峨眉含笑扦插繁殖研究[J].北方园艺,2013(5):63-65. |
| LIU X J.Study on cutting propagation of Michelia wilsonii [J].Northern Horticulture,2013(5):63-65. | |
| 13 | 朱丹,李雪,周彦杉,等.峨眉含笑精油提取工艺研究[J].乐山师范学院学报,2015,30(12):33-35,70. |
| ZHU D, LI X, ZHOU Y S,et al.Study on extraction process of essential oil from Michelia wilsonii Finet et Gagn[J].Journal of Leshan Normal University,2015,30(12):33-35,70. | |
| 14 | 肖书礼,付梦媛,杨科,等.极小种群野生植物峨眉含笑的种群结构与数量动态[J].西北植物学报,2019,39(7):1279-1288. |
| XIAO S L, FU M Y, YANG K,et al.Population structure and quantitative dynamics of an extremely small population,Michelia wilsonii [J].Acta Botanica Boreali-Occidentalia Sinica,2019,39(7):1279-1288. | |
| 15 | 马斌.5种木兰科植物光合特性、抗旱特性及观赏性状的研究[D].长沙:中南林业科技大学,2020. |
| MA B.Comprehensive evaluation of ornamental and drought resistance characteristics of five Magnoliaceae plants[D].Changsha:Central South University of Forestry & Technology,2020. | |
| 16 | 覃林.统计生态学[M].北京:中国林业出版社,2009:181-183. |
| QIN L.Statistical ecology[M].Beijing:China Forestry Publishing House,2009:181-183. | |
| 17 | 李哈滨,王政权,王庆成.空间异质性定量研究理论与方法[J].应用生态学报,1998,9(6):93-99. |
| LI H B, WANG Z Q, WANG Q C.Theory and methodology of spatial heterogeneity quantification[J].Chinese Journal of Applied Ecology,1998,9(6):93-99. | |
| 18 | 刘志理,毕连柱,宋国华,等.典型阔叶红松林叶面积指数的空间异质性[J].北京林业大学学报,2018,40(11):1-11. |
| LIU Z L, BI L Z, SONG G H,et al.Spatial heterogeneity of leaf area index in a typical mixed broadleaved-Korean pine forest in Xiaoxing’an Mountains of northeastern China[J].Journal of Beijing Forestry University,2018,40(11):1-11. | |
| 19 | 许洺山,赵延涛,杨晓东,等.浙江天童木本植物叶片性状空间变异的地统计学分析[J].植物生态学报,2016,40(1):48-59. |
| XU M S, ZHAO Y T, YANG X D,et al.Geostatistical analysis of spatial variations in leaf traits of woody plants in Tiantong,Zhejiang Province[J].Chinese Journal of Plant Ecology,2016,40(1):48-59. | |
| 20 | 欧汉彪,董利军,李娟,等.闽楠种实性状表型多样性与环境地理因子的关系[J].东北林业大学学报,2021,49(8):45-50. |
| OU H B, DONG L J, LI J,et al.Relationship between phenotypic diversity of Phoebe bournei deed traits and environmental geographical factors[J].Journal of Northeast Forestry University,2021,49(8):45-50. | |
| 21 | 刁松锋,邵文豪,姜景民,等.基于种实性状的无患子天然群体表型多样性研究[J].生态学报,2014,34(6):1451-1460. |
| DIAO S F, SHAO W H, JIANG J M,et al.Phenotypic diversity in natural populations of Sapindus mukorossi based on fruit and seed traits[J].Acta Ecologica Sinica,2014,34(6):1451-1460. | |
| 22 | 王洁,杨志玲,杨旭,等.方位及冠层对厚朴果实和种子形态变异的影响[J].生态与农村环境学报,2012,28(4):385-388. |
| WANG J, YANG Z L, YANG X,et al.Effects of orientation and canopy on deformation of fruits and seeds of Magnolia officinalis [J].Journal of Ecology and Rural Environment,2012,28(4):385-388. | |
| 23 | 金则新,顾婧婧,李钧敏.基于形态及分子标记的濒危植物夏蜡梅自然居群的遗传变异研究[J].生态学报,2012,32(12):3849-3858. |
| JIN Z X, GU J J, LI J M.Genetic variation among populations of the endangered Sinocalycanthus chinensis based on morphological traits and ISSR profiles[J].Acta Ecologica Sinica,2012,32(12):3849-3858. | |
| 24 | 周坚,樊汝汶.中国鹅掌楸传粉生物学研究[J].植物学通报,1999,16(1):75-79. |
| ZHOU J, FAN R W.Pollination of Liriodendron chinense [J].Chinese Bulletin of Botany,1999,16(1):75-79. | |
| 25 | 王立龙,王广林,刘登义,等.珍稀濒危植物小花木兰传粉生物学研究[J].生态学杂志,2005,24(8):853-857. |
| WANG L L, WANG G L, LIU D Y,et al.Pollination biology of endangered Magnolia sieboldii [J].Chinese Journal of Ecology,2005,24(8):853-857. | |
| 26 | 俞筱押,李玉辉,杨光荣.石林地质公园不同群落类型植物果实组成与种子散布特征[J].植物生态学报,2018,42(6):663-671. |
| YU X Y, LI Y H, YANG G R.Fruit types and seed dispersal modes of plants in different communities in Shilin Geopark,Yunnan,China[J].Chinese Journal of Plant Ecology,2018,42(6):663-671. | |
| 27 | 刘晓,周伟,王文杰.哈尔滨行道树的空间异质性分析[J].植物研究,2019,39(4):590-597. |
| LIU X, ZHOU W, WANG W J.Spatial heterogeneity of urban street trees in Harbin,China[J].Bulletin of Botanical Research,2019,39(4):590-597. | |
| 28 | HAO J, PAN L Q, JIA H Y,et al.Floral structure and breeding systems of Manglietia conifera Dandy(Magnoliaceae)[J].Forests,2019,10(9):756. |
| 29 | 柴弋霞,蔡梦颖,金晓玲,等.紫花含笑传粉生物学初探[J].广西植物,2017,37(10):1322-1329. |
| CHAI Y X, CAI M Y, JIN X L,et al.Pollination biology of Michelia crassipes [J].Guihaia,2017,37(10):1322-1329. | |
| 30 | 刘建平,周正立,李志军,等.胡杨、灰叶胡杨果实空间分布及其数量特性的研究[J].植物研究,2005,25(3):336-343. |
| LIU J P, ZHOU Z L, LI Z J,et al.A study on the spatial distribution and quantative characteristic of Populus euphratica and Populus pruinosa fruits[J].Bulletin of Botanical Research,2005,25(3):336-343. |
| [1] | Jie ZHANG, Rong-Rong LI, Jing-Xiang MENG, Yong ZHANG, Chong-Lu ZHONG. Phenotypic Variation and Genetic Diversity of Leaves Traits of Tabebuia and Handroanthus(Bignoniaceace) in China [J]. Bulletin of Botanical Research, 2021, 41(6): 851-861. |
| [2] | Yang XU, Yu-Tong WU, Zheng-Tian ZHAO, Jian-Shuang SHEN, Qi-Xiang ZHANG, Hui-Tang PAN. Genetic Analysis of Phenotypic Traits in F1 Hybrids of Forsythia intermedia×F.mandschurica [J]. Bulletin of Botanical Research, 2021, 41(3): 344-353. |
| [3] | Rui-Qing HE, Yun-Yao YANG, Zeng-Hui HU, Jing WU, Ping-Sheng LENG. Variation of Flower Phenotypic Traits on 195 Syringa oblata SeedSeedings Single Trees [J]. Bulletin of Botanical Research, 2021, 41(2): 213-220. |
| [4] | GUO Wen-Li, LI Yi-Liang, ZHAO Fen-Cheng, TIE Jun, LIAO Fang-Yan, ZHONG Sui-Ying, LIN Chang-Ming, YE Wei-Fang. Phenotypic Genetic Diversity of Pinus elliottii×P.caribaea Morelet var. hondurensis Clones [J]. Bulletin of Botanical Research, 2019, 39(2): 259-266. |
| [5] | ZHOU Li-Jun, YU Chao, CHANG Xiao, WAN Hui-Hua, LUO Le, PAN Hui-Tang, ZHANG Qi-Xiang. Variation Analysis of Phenotypic Traits in F1 Population of Rosa spp [J]. Bulletin of Botanical Research, 2019, 39(1): 131-138. |
| [6] | XIAO Yao, MA Wen-Jun, YI Fei, YANG Gui-Juan, WANG Qiu-Xia, WANG Ping, WANG Jun-Hui. Genetic Variation of Growth Traits and Genetic Diversity of Phenotypic Traits in Catalpa fargesii f. duclouxii Germplasm [J]. Bulletin of Botanical Research, 2018, 38(6): 843-851. |
| [7] | WEN Shan-Na, ZHONG Chong-Lu, JIANG Qing-Bin, CHEN Yu, ZHANG Yong, LI Qing-Ying. Phenotypic Diversity Analysis of Seedling Leaf Traits of Manglietia conifera Dandy [J]. Bulletin of Botanical Research, 2017, 37(2): 288-297. |
| [8] | DIAO Song-Feng;SHAO Wen-Hao;JIANG Jing-Min*;DONG Ru-Xiang;LI Yan-Jie. Phenotypic Traits of Sapindus mukorossi Seedling Population for Association Analysis [J]. Bulletin of Botanical Research, 2014, 34(4): 458-464. |
| Viewed | ||||||
|
Full text |
|
|||||
|
Abstract |
|
|||||